• 中国科技核心期刊
  • Scopus收录期刊
  • DOAJ收录期刊
  • JST收录期刊
  • Euro Pub收录期刊

留言板

尊敬的读者、作者、审稿人, 关于本刊的投稿、审稿、编辑和出版的任何问题, 您可以本页添加留言。我们将尽快给您答复。谢谢您的支持!

姓名
邮箱
手机号码
标题
留言内容
验证码

当期目录

2026年  第34卷  第1期

显示方式:
封面文章
尾翼板对水陆两栖车水动力性能影响的数值分析
张国卿, 冯亿坤, 靳昊斌, 盖祺芊, 徐小军
2026, 34(1): 1-8. doi: 10.11993/j.issn.2096-3920.2025-0126
摘要:
为揭示尾翼板对水陆两栖车水动力性能的影响机制, 结合静水拖曳试验与数值仿真方法, 基于STAR-CCM+数值计算对比分析了加装尾翼板前后两栖车在不同航速下的运动参数、自由液面波形及车身压力分布特性。研究结果表明: 尾翼板可显著改变水陆两栖车水动力特性, 其作用效果具有明显的速度依赖性。运动参数方面, 尾翼板使航行阻力呈先降后增趋势, 在弗劳德数为0.738时减阻率达21.6%; 同时, 其对航行姿态的调控作用突出, 纵摇角度峰值差异达63.3%, 且有效抑制计算航速域内的垂荡运动。在流场特性方面, 尾翼板通过改变车体纵摇角度和垂荡幅值, 重构了两栖车周围流场波形和车身压力分布特征, 低速时改善艉部流场分离, 高速时需防范过度埋首引发的气蚀风险。文中研究为水陆两栖车的水动力优化设计提供了理论依据。
综述评论
AI驱动的海上无人系统决策与控制研究进展综述
邓英杰, 徐艺菲, 闫敬, 赵丁选, 李梦霞
2026, 34(1): 9-28. doi: 10.11993/j.issn.2096-3920.2025-0095
摘要:
海上无人系统是指具有自主作业能力的智能化水面、水下以及空中无人平台, 采用人工智能(AI)技术提升其决策与控制水平是未来的必然发展趋势。尽管AI技术已经取得了长足发展, 其应用于海上无人系统仍受到环境干扰和系统特性的诸多制约。文中首先阐述了海上无人系统决策与控制基本架构, 剖析了传统基于数学建模和固定规则的方法在非平稳海洋环境、多约束任务及异构集群协同中的固有缺陷。其次, 综述了各国在AI驱动海上无人系统领域的发展现状, 梳理总结了AI在环境感知与定位、路径规划与制导、运动控制以及多系统协同等关键技术上的研究进展及存在的问题。进而, 揭示了当前研究面临的数据依赖性强、模型可解释性不足以及非平稳环境下学习困难等挑战。最后, 从数据集构建、算法优化、可解释性增强、人机协同及大模型与通用人工智能(AGI)融合等方面, 提出了针对性解决方案与未来发展路径, 为 AI 技术与海上无人系统的深度融合提供理论参考与技术支撑。
研究与应用
舰船轴频电场弱信号高增益检测方法
余平洋, 王宏磊, 杨益新
2026, 34(1): 29-36. doi: 10.11993/j.issn.2096-3920.2025-0079
摘要:
针对舰船轴频电场信号弱且易被噪声掩盖的问题, 提出了一种基于优先检测与选择性增强原则的高增益弱信号综合检测方法。首先利用自适应噪声完备集合经验模态分解结合窄带功率谱能量峰值熵比特征, 再通过滑动窗口与动态门限技术实现对目标信号的初步检测; 信号检测成功后, 触发三稳态随机共振与变步长最小平均p范数增强机制, 进一步增强目标信号的线谱特征, 并在此基础上实现目标信号特征频率的提取。仿真结果表明, 所提方法在信噪比为−12 dB的条件下检测准确率超过85%, 漏检率低于30%, 且能准确提取到目标信号的特征频率, 为舰船弱电场信号的实时监测提供了可行的技术方案。
基于工频磁特征的近岸海底电缆UAV航磁定位方法
孙运坤, 李尤, 曹向东, 陈美, 张雷, 李明跃, 赵杰, 韩琦
2026, 34(1): 37-46. doi: 10.11993/j.issn.2096-3920.2025-0083
摘要:
针对近岸海底电缆“最后一公里”高精度探测与定位的技术瓶颈, 文中提出一种融合工频磁场特征解析的无人机(UAV)航磁综合探测方法。首先建立海底电缆工频磁场正演模型, 通过数值仿真揭示电缆工频磁特征信号的传播衰减规律; 其次, 创新性地构建基于工频磁特征的频域信号提取算法, 有效提升强环境噪声背景下弱磁信号的识别精度; 继而提出结合地磁方向的逆向解析定位方法, 实现海底电缆走向的米级空间反演。实验采用自主研发的旋翼式超低空(飞行高度1 m)磁测UAV系统, 在温州近岸海域开展实测验证。结果表明: 系统在潮间带复杂地形条件下可高效完成工频磁特征航空磁探测作业, 通过对比分析发现, 工频特征定位法较常规磁异常定位法在近岸浅水区具有显著优势, 其定位误差不超过1.8 m, 可准确追踪电缆埋设路径。文中研究为海底电缆工程巡检与定位提供了新的技术范式。
基于双低秩调整训练的船舶辐射噪声识别
马治勋, 汤宁, 李璇, 郝程鹏
2026, 34(1): 47-56. doi: 10.11993/j.issn.2096-3920.2025-0114
摘要:
针对深度学习模型在船舶辐射噪声识别中由数据短缺、域偏移导致的泛化能力受限问题, 文中提出了一种权重-特征双低秩自适应迁移学习框架。该框架从模型权重和特征表达2个维度协同开展低秩优化: 在权重空间, 冻结预训练权重, 通过轻量化低秩权重调整(WLoRA)模块构建可学习低秩权重参数, 以较少参数量完成权重微调, 从而降低过拟合风险; 在特征空间, 基于船舶辐射噪声Mel时频谱的内在低秩结构, 通过低秩特征调整(FLoRA)模块对特征进行压缩和重构, 从而显式约束模型学习低秩特征。该框架充分考虑了Mel时频谱的固有低秩结构, 深入挖掘预训练模型潜力, 有效提升了迁移学习性能。通过在ShipsEar和Deepship公开数据集上的实验表明, 相对于直接微调预训练模型, 所提方法能够有效提升迁移学习在船舶辐射嗓声分类模型中的性能。进一步的消融实验验证了2个低秩模块的有效性。
面向全双工单载波水声通信相位补偿自干扰抵消方法
吴颂文, 陆胤亨, 周锋, 青昕, 李岩龙, 赵梓琛
2026, 34(1): 57-64. doi: 10.11993/j.issn.2096-3920.2025-0157
摘要:
针对带内全双工水声通信中收发采样相位失配导致自干扰抵消性能下降的问题, 提出了一种基于两阶段相位补偿的单载波自干扰抵消方法。传统方法假设参考信号与接收信号相位一致并直接进行抵消, 文中方法则将相位补偿引入参考信号的构造过程, 以残余能量最小为优化目标。首先基于参考信号与接收信号的相关性联合估计初步相位, 并在该结果的邻域内进一步精细搜索最优补偿相位并完成补偿, 结合自适应滤波算法提高自干扰抵消能力。通过对单频信号与正交相移键控信号的仿真, 结合水池与海上试验, 验证了所提方法的有效性。结果表明, 相位补偿后系统自干扰抵消效果明显提升: 水池实验中自干扰抵消性能提升5.289 dB,海试中提升1.986 dB, 且远端信号解调相关峰主旁瓣比得到优化。该相位补偿方法能有效提升自干扰抵消效果与滤波器收敛速度, 从而提高系统解调的准确性, 为全双工水声通信的实际应用提供了关键技术支撑。
基于声自导平台解卷积MIMO声呐高分辨成像方法
崔致远, 杨云川, 石磊, 姚远, 刘罡
2026, 34(1): 65-75. doi: 10.11993/j.issn.2096-3920.2025-0119
摘要:
针对水下航行器对目标期望导引部位精确成像的需求, 首次尝试将多输入多输出(MIMO)声呐成像应用于水下航行器的声自导平台, 旨在有限孔径条件下提高水下航行器声自导平台主动成像的分辨率, 获取清晰图像以引导水下航行器判断目标期望导引部位。结合声自导平台对MIMO声呐收发基阵进行讨论, 并通过仿真证明了MIMO声呐可等效为更大孔径的虚拟单输入多输出(SIMO)声呐, 兼具高于传统SIMO声呐的角度分辨率与小体积的优势。使用解卷积处理可以有效提高MIMO声呐的角度分辨率和距离分辨率, 同时显著抑制角度维和距离维旁瓣。文章创新点在于根据声自导平台设计收发阵型和Costas编码发射信号, 对目标散射回波进行处理, 验证了解卷积MIMO声呐高分辨成像方法在声自导平台上的可行性, 为MIMO声呐高分辨成像提供了新的技术参考和实现路径。
基于时频交错注意力与集成滤波模块的海洋声音分离算法
王禹迪, 杨明忠, 刘立昕
2026, 34(1): 76-84. doi: 10.11993/j.issn.2096-3920.2025-0127
摘要:
针对复杂海洋声景与水下目标信号多变特性导致的声音特征精细化感知与分辨问题, 文中提出基于时频交错注意力与集成滤波模块(IFM)的海洋声音分离算法。采用频带划分策略, 使用编码器将混合音频转换至时频谱, 利用多尺度注意力机制交叉提取时频增益, 并通过IFM将多尺度卷积空间滤波、自注意力特征依赖通路所提取的特征与原始特征进行高效融合, 并将融合后的特征输入解码器以重建高质量的纯净目标音频, 在增强目标信号细节的同时有效滤除背景噪声和干扰。在海洋典型声音数据集上的实验结果表明, 文中所提算法能够显著提升目标音频分离性能, 在座头鲸与客船、虎鲸与客船的音频分离实验中, 源失真比改善量(SDRi)分别达到8.56 dB和10.74 dB, 各项性能指标均优于现有基线模型。
基于元学习的水下目标空时频特征融合识别方法
刘晓春, 杨云川, 胡友峰, 王晨宇, 李永胜
2026, 34(1): 85-93. doi: 10.11993/j.issn.2096-3920.2025-0067
摘要:
针对主动声呐目标识别中舷角适应性较差、新型干扰对抗能力弱的问题, 文中从波动方程理论出发, 阐述了主动声呐感知目标信息的物理机理; 基于广义多重信号分类(MUSIC)空间谱估计, 结合距离维信息提出了一种获取水下目标伪三维空间特征的新方法, 有效提升了空间特征对不同舷角的适应能力; 研究了增强伪魏格纳-维尔分布(PWVD)时频谱特征的方法, 以及基于时频二维相关的运动目标多普勒频移分布特征提取技术, 通过2种算法在舷角特性下的互补优势, 进一步提高了目标识别的舷角适应性。为解决水下目标样本稀缺且分布不平衡的问题, 引入元学习思想, 构建了一种融合空间域、时频域及多普勒域多维特征的数据级融合目标识别网络, 利用仿真和试验数据对该网络进行了训练和测试。测试结果表明, 空时频融合特征显著增强了目标识别的舷角适应性和抗干扰能力, 为智能化水下目标识别技术的发展提供了新思路。
空-水双模态跨介质机器人推进性能CFD仿真研究
孙宇锋, 周晶, 赵黎明, 刘妹琴
2026, 34(1): 94-108. doi: 10.11993/j.issn.2096-3920.2025-0118
摘要:
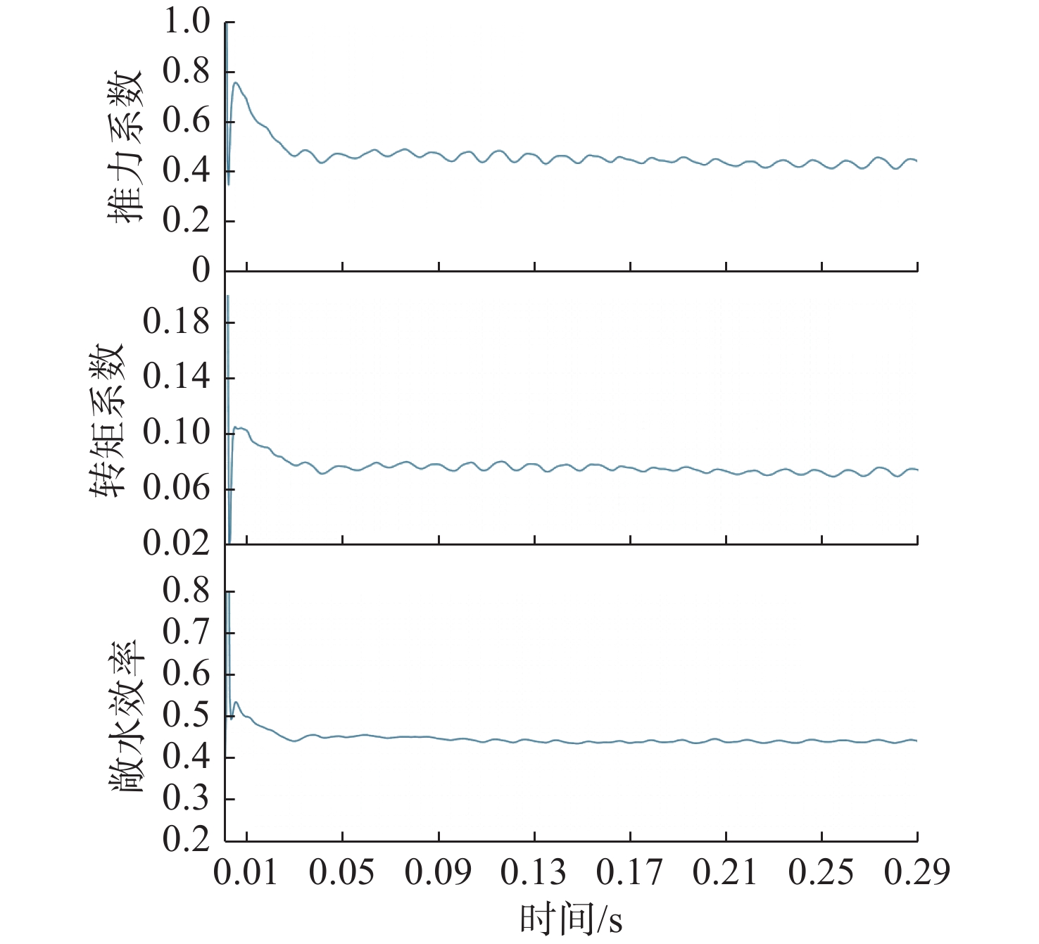
为应对复杂海洋环境中跨介质作业的需求, 针对一款具备空中与水下双模态运动能力的跨介质机器人, 开展了推进系统的计算流体力学(CFD)仿真研究。由于空气与水的密度、黏性等物理性质存在显著差异, 传统单环境推进器难以兼顾2种介质的高效推进。为此, 文中建立了涵盖空中与水下2种典型工况的三维瞬态CFD模型, 采用滑移网格与流体体积方法, 对单螺旋桨与多推进器耦合系统进行对比仿真分析, 揭示了跨介质推进系统在推力系数、推进效率与尾流干扰等方面的差异性及规律。结果表明, 在3 kn航速下, 水下推进系统效率最高可达48.48%, 显著高于空中推进系统(7.43%); 多推进器协同运行会引起尾流耦合干扰, 但在合理布局下可提升整体效率。文中构建了统一的空-水推进CFD分析框架, 提出了一种跨介质推进性能定量评估方法, 为跨介质机器人推进系统的布局优化与多模态协同设计提供理论参考。
球头锥体高速入水冲击响应快速预报与数值验证
刘平, 黄嘉豪, 王星刚, 赵俊琪, 曾梦成, 鄢之, 熊永亮
2026, 34(1): 109-119. doi: 10.11993/j.issn.2096-3920.2025-0116
摘要:
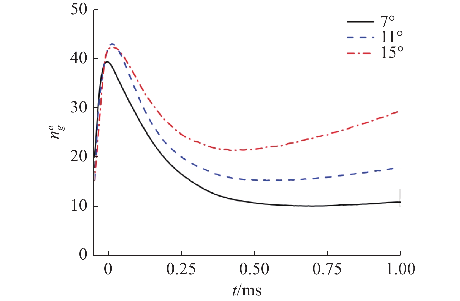
针对球头锥体跨介质入水的复杂物理现象, 文中以入水动力学理论为基础, 采用精确形体法建模, 构建了一种快速预报球头锥体入水冲击过载的分析模型。该模型在运动体入水动力学基础上, 针对典型入水阶段, 引入附加质量的影响得到理想流体作用力, 对触水运动体截面切片进行受力分析得到粘性流体作用力, 沿着结构体轴线将各切片理想流体作用力和粘性流体作用力积分, 最后得到球头锥体入水多阶段动力学方程。为验证模型有效性, 基于计算流体力学(CFD), 数值试验采用多相流模型、k-ε模型以及重叠网格技术, 对锥度5°~15°的球头锥体从空气中以50°~90°(垂直)角度范围高速抨击静止水面的高速入水过程开展数值仿真, 揭示运动体高速入水规律。研究表明, 文中所提模型可精确预测运动体入水冲击载荷及峰值时刻, 且计算效率较传统CFD方法提升了2个量级, 适用于工程领域快速评估。
发射深度对水下航行体出筒点火过程的影响
刘尚, 黄曦, 王立航, 刘平安, 褚悦
2026, 34(1): 120-128. doi: 10.11993/j.issn.2096-3920.2025-0129
摘要:
水下发射技术是水下航行体领域的重要发展方向, 其中出筒点火过程是航行体弹射出筒与近筒口点火两阶段的耦合过程。该过程中, 高温高压燃气流与水环境耦合作用, 形成复杂多相流场, 同时航行体与发射筒壁面产生剧烈冲击, 引发载荷动态变化, 探究该过程的流动演化规律对完善水下发射理论体系具有重要意义。为探究深水环境下航行体出筒点火特性, 文中采用 Fluent软件, 结合重叠网格技术与用户自定义函数, 系统研究发射深度对该过程的影响规律。研究结果表明, 发射深度显著影响航行体出筒点火过程中的燃气射流演化及推力特性: 随着发射深度的增加, 发射筒出口燃气泡径向扩张受到抑制, 航行体离筒后筒口卷吸效应显著增强, 燃气射流易发生断裂现象, 且喷管涡流会导致发动机推力损失。文中研究可为水下航行体发射系统优化设计提供理论支撑。
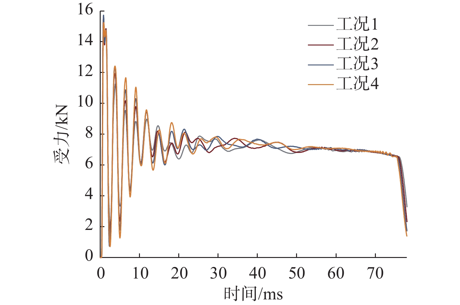
热发射过程冲击波对航行体头罩安全出筒影响分析
刘钢旗, 袁馨, 高山, 崔灿丽, 叶剑鸿
2026, 34(1): 129-135. doi: 10.11993/j.issn.2096-3920.2024-0156
摘要:
针对同心筒热发射过程中燃气流场作用下产生的冲击波对火箭助飞航行体头罩安全出筒的影响, 采用计算流体力学软件数值仿真点火发射过程, 详细分析了固体火箭发动机产生的冲击波和燃气在同心筒内的传播规律, 得到了冲击波作用下头罩受力变化曲线, 揭示了头罩在冲击波作用下的受力机理。结合试验数据进一步验证了头罩在冲击波作用下的受力过程,明确了其“先压—后拔—再压”的受力特征。研究结果清晰阐明了同心筒热发射过程冲击波对头罩的受力影响机制, 可为航行器头罩出筒安全性设计提供理论依据和参考。
改进Smith预估器结合HCOPSO算法的无人艇航向控制
李至琦, 刘兰军, 陈家林
2026, 34(1): 136-147. doi: 10.11993/j.issn.2096-3920.2025-0104
摘要:
高速无人艇(USV)航向控制中, 同时存在前向通道与反馈回路的时滞环节, 并且具有较大的延迟/动态时间比, 显著降低航向控制性能。传统Smith预估器虽能有效补偿前向通道时滞, 但未考虑反馈回路的时滞。为此, 文中将反馈回路时滞纳入Smith预估器设计, 构建包含双向时滞的预测模型, 同时补偿前向通道与反馈回路的时滞, 减少双向时滞的系统相位裕度侵蚀。进一步, 引入混合均值中心反向学习粒子群优化(HCOPSO)算法进行比例-积分-微分(PID)控制器参数寻优整定, 该算法在迭代前期利用均值中心反向学习策略扩大搜索范围, 后期通过自适应压缩因子实现精细寻优, 兼具全局探索与局部开发的优势, 有效解决寻优过程的局部最优解问题。基于USV航向模型进行了仿真测试, 结果表明, 改进Smith预估PID控制器相较于常规PID控制器、传统Smith预估PID控制器, 系统的超调量和调节时间均得到了改善, 稳态误差小于0.1°; 并且当改进Smith预估补偿模型存在误差时, 系统依然能够保持良好的动态性能与稳态精度。同时, 针对改进Smith预估PID控制器, 进一步对比分析了HCOPSO算法与粒子群优化(PSO)算法、遗传算法(GA)和鲸鱼优化算法(WOA)的航向控制性能。结果表明, HCOPSO算法获得的时间加权绝对误差积分(ITAE)指标较PSO、GA和WOA算法分别降低了55.38%、22.47%和24.63%, 并表现出较强的扰动抑制能力与航向保持能力, 验证了其有效性。
基于USBL的USV-AUV协同多目标路径规划
米彦龙, 杨惠珍, 郭天阳
2026, 34(1): 148-156, 175. doi: 10.11993/j.issn.2096-3920.2025-0113
摘要:
面向无人水面艇(USV)辅助多自主水下航行器(AUV)作业应用背景, 针对水下通信易受干扰、有效距离有限及协同稳定性不足等问题, 提出一种基于超短基线 (USBL)定位系统的USV-AUV多目标协同路径规划方法。通过分析USBL工作原理与海洋水声信号传播特性, 融合USBL信号有效区、射线声学理论定义的声线传播边界及声呐方程计算的最大作用距离, 共同构建协同作业的稳定通信范围。在确保USV与AUV处于水声通信有效范围的前提下, 进一步优化路径长度、路径平滑度和USV-AUV的通信性能, 建立了USV-AUV协同路径规划的多目标优化模型, 采用融合遗传算法(GA)、粒子群优化(PSO)和教学优化(TLBO)算法的协同优化策略求解。仿真实验探究了通信距离、AUV作业深度等参数对USV规划路径影响, 结果表明, 所提方法在满足USBL通信约束的同时, 能够有效提升USV与AUV协同工作的稳定性和效率, 为多AUV执行复杂海洋任务提供可靠保障。
一种故障检测与抗差估计协同的AUV容错导航算法
肖睿彬, 马铁锋, 胡友峰
2026, 34(1): 157-166. doi: 10.11993/j.issn.2096-3920.2025-0156
摘要:
自主水下航行器(AUV)组合导航系统在面对多普勒测速仪(DVL)缓变故障时, 传统自适应滤波算法因噪声估计与故障检测机制相互冲突, 难以实现有效容错。为此, 文中提出一种融合长短期记忆(LSTM)网络故障检测与变分贝叶斯自适应卡尔曼滤波(VBAKF)/IGG-III抗差滤波的协同容错导航方法。该方法通过LSTM网络实现对缓变故障早期特征的有效识别; 在确认故障后将滤波器由VBAKF切换至IGG-III抗差滤波模式, 动态构造等价权矩阵以抑制故障量测影响; 故障结束后恢复VBAKF以维持最优估计。实验结果表明, 在DVL发生缓变故障时, 所提方法的导航精度优于几种主流滤波算法, 有效抑制了状态估计失真, 提升了AUV组合导航系统在不确定水下环境中的定位精度和鲁棒性。
基于Pixhawk与开源架构的ROV总体设计与运动控制
李行行, 朱发新, 廖煜铭, 董良雄, 王盛儿
2026, 34(1): 167-174. doi: 10.11993/j.issn.2096-3920.2025-0136
摘要:
为优化水下航行器开发周期与项目成本, 文中设计并实现了一种基于开源软硬件平台的遥控水下航行器(ROV)系统。首先, 利用Fusion360软件完成ROV的三维建模, 并采用3D打印技术实现原型快速制作; 其次, 设计构建了一种Pixhawk与树莓派(RPi)的组合式分层控制架构: 上层由RPi作为决策单元, 负责运行机器人操作系统(ROS)节点、处理视觉数据、执行任务规划及与地面站的高速通信; 下层由Pixhawk作为实时运动控制单元, 负责航行姿态计算和推进器驱动, 通过MAVLink通信协议实现上下层间及与远程地面站的数据交互。静水环境测试结果表明, 该ROV平台能稳定接收并响应地面站发送的控制指令, 定深控制精度在±0.3 m以内, 航向控制偏差小于±3°。研究表明, 基于开源Pixhawk飞控平台与低成本制造技术的研发路径具备可实现性, 该方案缩短了航行器的开发周期, 降低了成本, 并且其软硬件架构可扩展, 为中小型水下探测装备的快速研发提供了可复用的技术参考与实践经验。
水下航行器动力推进系统支承参数整体匹配优化设计
周晶昆, 王中, 孙岑, 周景军, 王谦, 张志民, 耿小明
2026, 34(1): 175-181. doi: 10.11993/j.issn.2096-3920.2025-0137
摘要:
为验证动力推进系统支承参数的整体匹配优化效果, 文中以某典型水下航行器为对象, 通过建立其有限元简化模型, 基于多目标遗传算法(MOGA), 选取联轴节与尾轴长度比、尾轴支承位置以及支承刚度作为参数变量, 以壳体上4处关键位置的振动能级作为目标函数, 分别开展参数变量单独优化与整体匹配优化。结果表明: 通过调整联轴节与尾轴长度比、优化尾轴支承位置和支承刚度参数, 可有效降低系统振动响应, 其中联轴节与尾轴长度比优化后的减振效果可达5.2 dB; 而整体匹配优化相比单参变量优化效果更为显著, 其振动能级落差可达9.2 dB。研究证实, 在动力推进系统支承参数优化过程中, 各参数之间通过多MOGA进行匹配优化, 可最大程度降低系统整体振动响应水平。整体匹配优化方法可为水下航行器动力推进系统的减振优化设计提供新的优化思路。
基于专家知识与深度强化学习的双层自主决策方法
肖文文, 蔡乾亚, 毛立夫, 林源, 赵媛, 王绵进
2026, 34(1): 182-189. doi: 10.11993/j.issn.2096-3920.2025-0098
摘要:
水下环境复杂多变, 水下无人系统面临感知信息不完备与环境不确定性的双重挑战, 传统决策方法依赖完备的感知数据与地图信息, 在动态复杂场景中自适应能力不足, 难以高效完成自主导航、避障等任务。针对此, 文中提出一种基于专家知识与深度强化学习的双层自主决策方法, 旨在提升水下无人系统的智能决策自适应能力与任务执行效率。具体而言, 首先设计包含七大功能模块的双层自主决策架构, 通过强化系统鲁棒性切实保障航行安全; 然后, 提出融合专家知识与深度强化学习的自主决策策略生成方法, 提升水下无人系统在未知场景中的自适应能力; 最后, 提出多模块设计方法实现各功能模块的解耦, 有效提升水下无人系统的研发效率。以水下无人系统为研究对象, 在Unity虚拟仿真平台开展自主导航与避障实验, 结果表明, 文中所提方法的任务成功率与平均奖励值收敛速度均优于近端策略优化、软演员-评论家等基准方法, 为真实场景下的自主决策优化研究提供了坚实的理论支撑。
基于自适应变异粒子群的水声诱骗装置协同对抗策略优化
夏志军, 任云冲, 韩云峰, 江雷
2026, 34(1): 190-197. doi: 10.11993/j.issn.2096-3920.2025-0081
摘要:
针对水面舰船防御水下制导装置时, 多枚水声诱骗装置协同对抗体系研究不足, 且传统穷举法存在效率低、可移植性差的问题, 文中引入粒子群优化算法对对抗模型进行优化, 并通过添加自适应惯性权重与多半径变异机制改进该算法; 同时, 构建以防御成功率、最小交战距离及舰船存活时间为核心指标的多目标优化函数, 优化舰船规避航向以及2枚助飞式水声诱骗装置的发射距离与角度。仿真结果表明, 所提改进算法相较传统算法具备更高效率、更快收敛速度与更优适应度, 同时揭示了不同舷角态势下最优对抗策略的差异性及其战术价值, 为水下制导装置防御策略制定提供重要参考。
基于动态Voronoi分区的多舰协同搜索方法
蒋海军, 张翼超, 孙雅萍, 陈宏昆
2026, 34(1): 198-206. doi: 10.11993/j.issn.2096-3920.2025-0123
摘要:
传统多舰协同检查搜索主要采用固定分区且未考虑目标规避, 存在发现概率低、贴近实战不足的问题。文章提出一种基于动态Voronoi分区与多源信息联合决策的多舰协同搜索方法, 该方法以贝叶斯概率框架为基础, 融合声呐探测模型与目标运动扩散模型, 构建并动态更新目标位置的概率分布图。通过Voronoi图自适应划分搜索区域, 为各舰船划定责任分区, 实现任务空间分布式部署, 可显著降低区域冗余覆盖, 同时消除搜索盲区。针对“探索-利用”策略的阶段化适配需求(前期侧重探索、后期侧重利用), 设计多源信息融合评分模型, 将目标存在概率、区域未搜索程度及局部信息熵纳入综合计算, 并构建权重随搜索进度调整机制, 使搜索策略随任务进程动态调整, 进而指导舰船确定最优搜索目标点。在目标主动规避的对抗场景下, 将所提方法与固定分区的“弓”字形面积覆盖法、粒子群最大概率航向优化法进行对比, 通过1 000次蒙特卡洛仿真表明, 所提方法在多舰协同搜索任务中能显著缩短发现目标时间, 提高统计意义上的发现目标概率, 在对抗环境下具备良好的真实性与可扩展性。
服务号
订阅号