The influence of launch depth on the ejection and ignition process of underwater vehicles
-
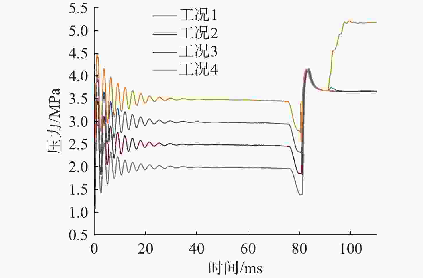
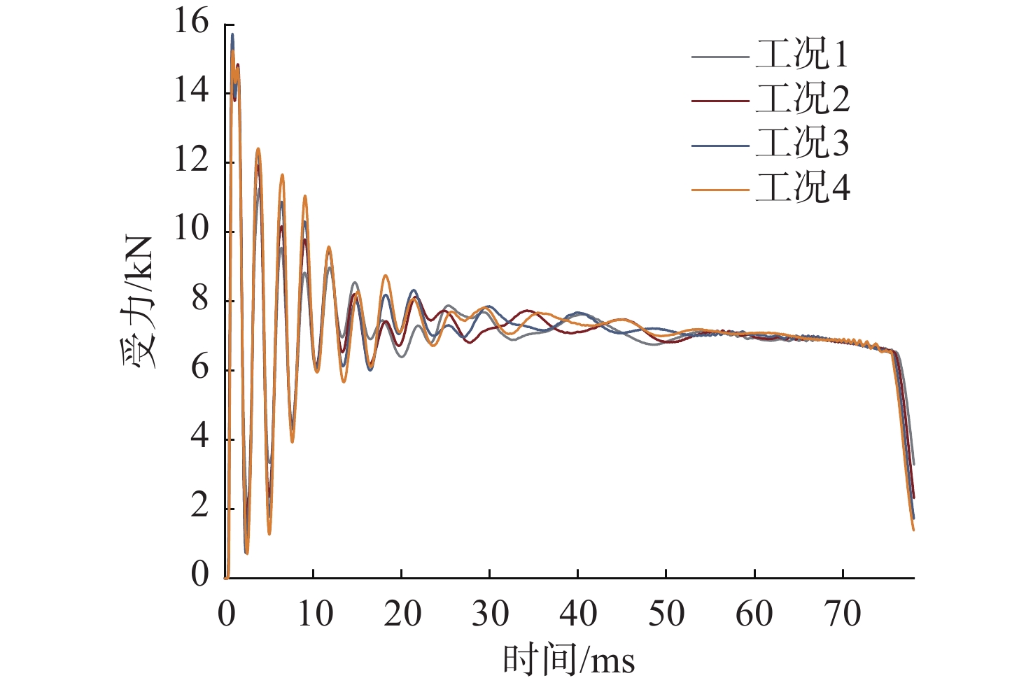
摘要: 水下发射航行体技术是水下航行器领域发展的重要方向, 其中航行体出筒点火过程是航行体弹射出筒与近筒口点火两阶段的耦合过程。该过程中, 高温高压燃气流与水环境耦合作用, 形成复杂多相流场, 同时航行体与发射筒壁面产生剧烈冲击, 引发载荷动态变化; 探究该过程的流动演化规律, 对完善水下发射理论体系具有重要意义。为探究深水环境下航行体出筒点火特性, 文中采用 Fluent 软件, 结合重叠网格技术与用户自定义函数(UDF)方法, 系统研究发射深度对该过程的影响规律。研究表明, 发射深度显著影响航行体出筒点火过程中的燃气射流演化及推力特性: 随发射深度增加, 发射筒出口燃气泡径向扩张受抑制, 航行体离筒后筒口卷吸效应显著增强, 燃气射流易发生断裂现象, 且喷管涡流会导致发动机推力损失。Abstract: Underwater-launched vehicle technology represents an important development direction in the field of underwater vehicles, in which the out-of-tube ignition process is a coupled process involving vehicle ejection from the launch tube and near-muzzle ignition. During this process, high-temperature and high-pressure combustion gases interact with the surrounding water environment, forming a complex multiphase flow field, while severe impacts occur between the vehicle and the launch tube wall, leading to dynamic load variations. Investigating the flow evolution characteristics of this process is of great significance for improving the theoretical framework of underwater launch systems. To investigate the out-of-tube ignition characteristics of a vehicle under deep-water conditions, this study employs Fluent software in conjunction with overset grid technology and user-defined functions (UDFs) to systematically examine the influence of launch depth on the process. The results indicate that launch depth has a significant effect on the evolution of the gas jet and thrust characteristics during the out-of-tube ignition process: with increasing depth, the radial expansion of gas bubbles at the tube exit is suppressed, the entrainment effect at the tube mouth after vehicle separation is markedly enhanced, gas jet breakup becomes more likely, and nozzle vortices lead to engine thrust losses.
-
Key words:
- underwater vehicle /
- underwater launch /
- multiphase flow /
- overlapping grid /
- numerical simulation
-
表 1 推进剂参数
Table 1. Propellant parameters
参数/单位 数值 燃速压强指数 0.3 燃速系数 0.000 1 推进剂燃气温度/(K) 280 0 平均摩尔质量/(g/mol) 26 推进剂定压比热容/(J/(kg·K)) 1 598.85 燃气导热系数/(J/(m·K)) 0.16 表 2 不同发射水深下的计算工况表
Table 2. Calculation table under different launching water depths
工况 发射水深/(m) 发射筒压差/(MPa) 燃烧室设计压力/(MPa) #1 100 1 10 #2 150 #3 200 #4 250 -
[1] YANG Y X, WANG M J, LIU J P, et al. A novel coupled algorithm for studying the performance character-istics of water ramjet in the flight of supercavitating vehicle[J]. Ocean Engineering, 2024, 309(2024): 118609. doi: 10.1016/j.oceaneng.2024.118609 [2] 倪火才, 田秀英. 潜地弹道导弹水下发射系统的发展[J]. 舰载武器, 1996(4): 1-10.NI H C, TIAN X Y. Development of underwater launch systems for submarine-launched ballistic missiles[J]. Naval Weapons, 1996(4): 1-10. [3] 王洁, 王朕, 邓力, 等. 国外潜射弹道导弹的研究现状及关键技术[J]. 飞航导弹, 2015(10): 6-10. doi: 10.16338/j.issn.1009-1319.2015.10.02WANG J, WANG Z, DENG L, et al. Current research status and key technologies of foreign submarine-launched ballistic missiles[J]. Aerodynamic Missile Journal, 2015(10): 6-10. doi: 10.16338/j.issn.1009-1319.2015.10.02 [4] 郑帮涛. 潜射导弹出水过程水弹道及流体动力研究进展[J]. 导弹与航天运载技术, 2010, 309(5): 8-11,55. doi: 10.3969/j.issn.1004-7182.2010.05.003ZHENG B T. Overview on hydroballistics and fluid dynamics of submarine-based missiles[J]. Missiles and Space Vehicles, 2010, 309(5): 8-11,55. doi: 10.3969/j.issn.1004-7182.2010.05.003 [5] 王瑞臣, 杨海波, 孙东平. 潜射导弹发射方式综述[J]. 舰船电子工程, 2021, 41(4): 8-12. doi: 10.3969/j.issn.1672-9730.2021.04.003WANG R C, YANG H B, SUN D P. Overview of the launch modes for submarine-launched missiles[J]. Ship Electronic Engineering, 2021, 41(4): 8-12. doi: 10.3969/j.issn.1672-9730.2021.04.003 [6] YAGLA J J. Concentric canister launcher[J]. Naval Engineers Journal, 1997, 109(3): 313-327. doi: 10.1111/j.1559-3584.1997.tb03220.x [7] LI D, SANKARAN V, LINDAU J, et al. A unified computational formulation for multi-component and multi-phase flows[C]//43rd AIAA Aerospace Sciences Meeting & Exhibit. Reno, USA: AIAA, 2005: 1-18. [8] WEILAND C J, VLACHOS P P, YAGLA J J. Concept analysis and laboratory observations on a water piercing missile launcher[J]. Ocean Engineering, 2010, 37(11-12): 959-965. doi: 10.1016/j.oceaneng.2010.03.009 [9] 高娜. 导弹水下发射内流场的数值模拟[D]. 哈尔滨: 哈尔滨工程大学, 2007. [10] 徐学文, 李恒, 白玉. 基于动网格层铺法的导弹垂直热发射数值仿真[J]. 舰船电子工程, 2022, 42(9): 98-101. doi: 10.3969/j.issn.1672-9730.2022.09.021XU X W, LI H, BAI Y. Numerical simulation of missile vertical thermal launch based on moving grid layering method[J]. Ship Electronic Engineering, 2022, 42(9): 98-101. doi: 10.3969/j.issn.1672-9730.2022.09.021 [11] 邓佳. 导弹水下热发射多相流场与动力特性研究[D]. 北京: 北京理工大学, 2015. [12] 邓佳, 毕世华, 李景须. 同心筒水下发射筒口气泡变化的数值模拟[J]. 四川兵工学报, 2015, 36(11): 26-28+64.DENG J, BI S H, LI J X. Numerical simulation of change of bubble in tube opening underwater launch using concentric canister structure[J]. Journal of Ordnance Equipment Engineering, 2015, 36(11): 26-28, 64. [13] TINDELL R H. Computational fluid dynamic applications for jet propulsion system integration[J]. Journal of Engineering for Gas Turbines and Power-Transactions of the Asme, 1990, 113(1): 40-50. [14] SHAHEED R, MOHAMMADIAN A, GILDEH H K. A comparison of standard k-ε and realizable k-ε turbulence models in curved and confluent channels[J]. Environmental Fluid Mechanics, 2019, 2019(2): 543-568. [15] MIKKO M, VEIKKO T, SIRPA K. On the mixture model for multiphase flow[R]. Technical Research Centre of Finland Espoo, 1996. [16] ANSYS I. Ansys fluent user’s guide[M]. Canonsburg: Ansys Inc, 2020. [17] CHAN W. Overset grid technology development at NASA ames research center[J]. Computers & Fluids, 2009, 38(3): 496-503. doi: 10.1016/j.compfluid.2008.06.009 [18] CHAN W, GOMEZ R, ROGERS S, et al. Best practices in overset grid generation[C]//32nd AIAA Fluid Dynamics Conference and Exhibit. St. Louis, USA: AIAA, 2002: 1-23. [19] 李强. 水下航行体连续垂直发射出筒过程多相流动特性研究[D]. 哈尔滨: 哈尔滨工业大学, 2018. [20] 李慧慧. 水下热发射航行体出筒过程的数值模拟研究[D]. 哈尔滨: 哈尔滨工程大学, 2024. [21] 孟凡策. 小型机器人水下发射装置内弹道建模与流场特性研究[D]. 哈尔滨: 哈尔滨工程大学, 2022. [22] 文俊杰. 微纳卫星固体火箭发动机点火过程及内流场仿真研究[D]. 南京: 南京理工大学, 2020. [23] 庄至栋. 固体火箭发动机水下点火过程研究[D]. 哈尔滨: 哈尔滨工程大学, 2023. -

下载: