• 中国科技核心期刊
  • Scopus收录期刊
  • DOAJ收录期刊
  • JST收录期刊
  • Euro Pub收录期刊

留言板

尊敬的读者、作者、审稿人, 关于本刊的投稿、审稿、编辑和出版的任何问题, 您可以本页添加留言。我们将尽快给您答复。谢谢您的支持!

姓名
邮箱
手机号码
标题
留言内容
验证码

球头锥体高速入水冲击响应快速预报与数值验证

刘平 黄嘉豪 王星刚 赵俊琪 曾梦成 鄢之 熊永亮

刘平, 黄嘉豪, 王星刚, 等. 球头锥体高速入水冲击响应快速预报与数值验证[J]. 水下无人系统学报, 2026, 34(1): 1-11 doi: 10.11993/j.issn.2096-3920.2025-0116
引用本文: 刘平, 黄嘉豪, 王星刚, 等. 球头锥体高速入水冲击响应快速预报与数值验证[J]. 水下无人系统学报, 2026, 34(1): 1-11 doi: 10.11993/j.issn.2096-3920.2025-0116
LIU Ping, HUANG Jiahao, WANG Xinggang, ZHAO Junqi, ZENG Mengcheng, YAN Zhi, XIONG Yongliang. Rapid prediction and numerical verification of high-speed water-entry impact response of spherical-nosed cone[J]. Journal of Unmanned Undersea Systems. doi: 10.11993/j.issn.2096-3920.2025-0116
Citation: LIU Ping, HUANG Jiahao, WANG Xinggang, ZHAO Junqi, ZENG Mengcheng, YAN Zhi, XIONG Yongliang. Rapid prediction and numerical verification of high-speed water-entry impact response of spherical-nosed cone[J]. Journal of Unmanned Undersea Systems. doi: 10.11993/j.issn.2096-3920.2025-0116

球头锥体高速入水冲击响应快速预报与数值验证

doi: 10.11993/j.issn.2096-3920.2025-0116
基金项目: 中国工程物理研究院院长基金自强项目(YZJJZQ2023011); 国家自然科学基金面上项目(12102412, 12372202).
详细信息
    通讯作者:

    熊永亮(1981-), 男, 教授, 主要研究方向为热流固声耦合计算.

  • 中图分类号: TJ630; U674

Rapid prediction and numerical verification of high-speed water-entry impact response of spherical-nosed cone

  • 摘要: 针对球头锥体跨介质入水复杂物理现象, 以入水动力学理论为基础, 采用精确形体法建模, 构建了一种快速预报球头锥体入水冲击过载的分析模型。模型在运动体入水动力学基础上, 针对典型入水阶段, 引入附加质量的影响得到理想流体作用力, 对触水运动体截面切片进行受力分析得到粘性流体作用力, 沿着结构体轴线将各切片理想流体作用力和粘性流体作用力积分, 最后得到球头锥体入水多阶段动力学方程。为验证模型有效性, 数值试验采用多相流模型、k-ε模型以及重叠网格技术, 基于计算流体力学(CFD)研究锥度在5°~15°变化的球头锥体, 从空气中以50°~90°(垂直)角度范围高速抨击静止水面的高速入水过程, 得到运动体高速入水规律。研究表明, 文中所提模型可精确预测结构体入水冲击载荷及时刻, 且计算效率较传统CFD方法提升了2个量级, 适用于工程领域快速评估。

     

  • 图  1  球头锥体入水受力分析

    Figure  1.  Force analysis of water entry of spherical-nosed cone

    图  2  球头锥体弹体切片

    Figure  2.  Cross-section of spherical-nosed cone

    图  3  球头锥型弹体入水时刻几何示意图

    Figure  3.  Schematic diagram of water entry of spherical-nosed cone

    图  4  计算域

    Figure  4.  Computational domain

    图  5  斜入水相图

    Figure  5.  Water-entry phase diagram

    图  6  网格划分

    Figure  6.  Mesh subdivision

    图  7  网格无关性验证

    Figure  7.  Grid independence verification

    图  8  入水过载曲线的数值仿真结果与试验数据对比

    Figure  8.  Comparison of water entry overload curves between the numerical simulation and experimental data

    图  9  总过载随浸深变化曲线

    Figure  9.  Variation of total overload with immersion depth

    图  10  不同倾角斜入水和垂直入水时弹体总过载曲线

    Figure  10.  Variation of total overload with time for projectiles during oblique water entry at different inclination angles and vertical water entry

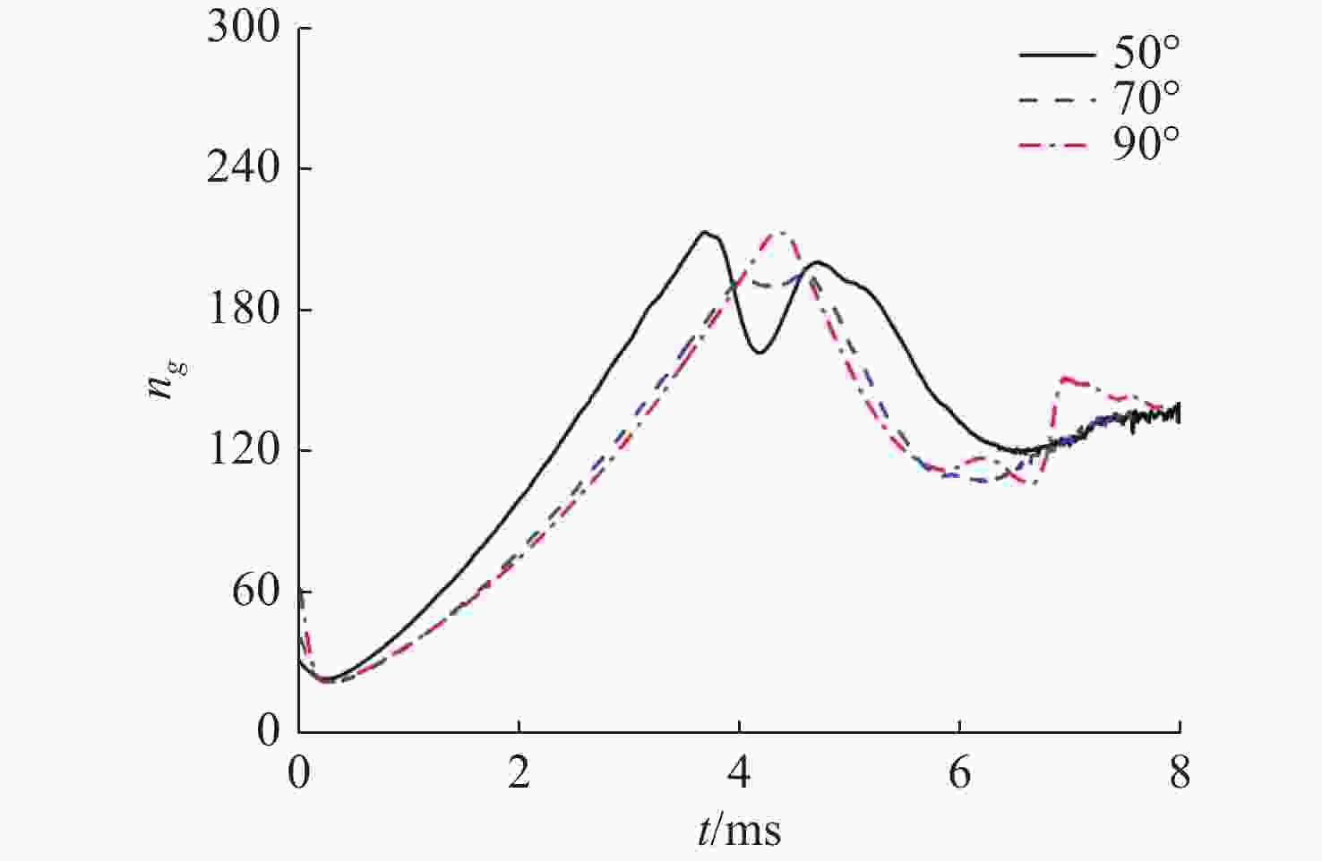
    图  11  不同倾角斜入水和垂直入水时弹体轴向过载曲线

    Figure  11.  Variation of axial overload with time for projectiles during oblique water entry at different inclination angles and vertical water entry

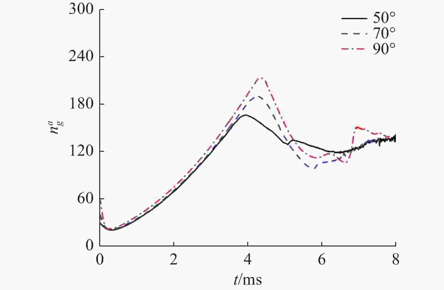
    图  12  不同倾角斜入水和垂直入水时弹体径向过载曲线

    Figure  12.  Variation of radial overload with time for projectiles during oblique water entry at different inclination angles and vertical water entry

    图  13  弹体以50°倾角入水时轴向过载曲线

    Figure  13.  Variation of axial overload with time when the projectile enters water at an inclination angle of 50°

    图  14  锥度5°弹体以70°倾角入水结果对比

    Figure  14.  Comparison results of a projectile with a 5° cone angle during water entry at a 70° inclination angle

    图  15  不同锥度弹体以70°倾角入水结果对比

    Figure  15.  Comparison results of projectiles with various cone angles during water entry at a 70° inclination angle

    图  16  锥度 5°弹体垂直入水结果对比

    Figure  16.  Comparison results of a projectile with a 5° cone angle during vertical water entry

    图  17  不同锥度弹体垂直入水结果对比

    Figure  17.  Comparison results of projectiles with various cone angles during vertical water entry

    图  18  锥度 15°大尺度弹体以200 m/s速度垂直入水结果对比

    Figure  18.  Comparison results of a large-scale projectile with a 15° cone angle during vertical water entry at 200 m/s

    图  19  锥度15°大尺度弹体以1500 m/s速度垂直入水结果对比

    Figure  19.  Comparison results of a large-scale projectile with a 15° cone angle during vertical water entry at 1500 m/s

  • [1] LESSIA A W. A review of laminated composite plate buckling[J]. Applied Mechanics Reviews, 1987, 40(5): 575-591. doi: 10.1115/1.3149534
    [2] 张阿漫, 明付仁, 刘云龙, 等. 水下爆炸载荷特性及其作用下的舰船毁伤与防护研究综述[J]. 中国舰船研究, 2023, 18(3): 139-154.

    ZHANG A M, MING F R, LIU Y L, et al. Review of research on underwater explosion related to load characteristics and ship damage and protection[J]. Chinese Journal of Ship Research, 2023, 18(3): 139-154.
    [3] 王余, 熊永亮, 田轩麾, 等. 不同头型回转体高速入水运动过程对比研究[J]. 水下无人系统学报, 2024, 32(3): 451-462.

    WANG Y, XIONG Y K, TIAN X H, et al. Comparison of high-speed water entry movement process of axisymmetric bodies with different head shapes[J]. Journal of Unmanned Undersea Systems, 2024, 32(3): 451-462.
    [4] WORTHINGTON A M, COLE R S. Impact with a liquid surface studied by the aid ofinstataneous photography[J]. Philosophical Transactions of the Royal Society, 1900, 194(A): 175-200.
    [5] VON K T. The impact on seaplane floats during landing[R]. National Advisory Committee for Aeronautics, 1929: 309-313.
    [6] WAGNER H. Phenomena associated with impacts and sliding on liquid surfaces[J]. Journal of Applied Mathematics and Mechanics, 1932, 12(4): 193-215.
    [7] FALTINSEN O M, CHEZHIAN M. A generalized Wagner method for three-dimensional slamming[J]. Journal of Ship Research, 2005, 49(4): 279-287.
    [8] ZHAO R, FALTINSEN O. Water entry of two-dimensional bodies[J]. Journal of Fluid Mechanics, 1993, 246: 593-612. doi: 10.1017/S002211209300028X
    [9] TASSIN A, JACQUES N, NEME A, et al. An efficient numerical method for the three dimensional Wagner problem[C]//Proceeding of the 25th International Workshop on Water Waves and Floating Bodies IWWWFB. Harbin, China: IWWWFB, 2010: 2-3.
    [10] IRANMANESH A, PASSANDIDEH F M. A three-dimensional numerical approach on water entry of a horizontal circular cylinder using the volume of fluid technique[J]. Ocean Engineering, 2017, 130: 557-566. doi: 10.1016/j.oceaneng.2016.12.018
    [11] NGUYEN V T, VU D T, PARK W G, et al. Navier–Stokes solver for water entry bodies with moving Chimera grid method in 6DOF motions[J]. Computers & Fluids, 2016, 140: 19-38. doi: 10.1016/j.compfluid.2016.09.005
    [12] MIRZAII I, PASSANDIDEH F M. Modeling free surface flows in presence of an arbitrary moving object[J]. International Journal of Multiphase Flow, 2012, 39: 216-226. doi: 10.1016/j.ijmultiphaseflow.2011.08.005
    [13] 张岳青, 白治宁, 曾小凡, 等. 楔形和弧形结构入水冲击响应研究[J]. 船舶力学, 2020, 24(3): 400-408.

    ZHANG Y Q, BAI Z N, ZENG X F, et al. Study of water impact response of wedge- and arc-shaped structures[J]. Journal of Ship Mechanics, 2020, 24(3): 400-408.
    [14] 石汉成, 蒋培, 程锦房, 等. 头部形状对水雷入水载荷及水下弹道影响的数值仿真分析[J]. 舰船科学技术, 2010(10): 104-107.

    SHI H C, JIANG P, CHENG J F, et al. Researh on numerical simulation of mine water-entry impact acceleration and underwater ballistic trajectory under the different mine’s head shape[J]. Ship Science and Technology, 2010(10): 104-107.
    [15] 朱珠, 袁绪龙. 柱体高速入水冲击载荷与空泡特性[J]. 计算机仿真, 2014, 31(3): 29-33. doi: 10.3969/j.issn.1006-9348.2014.03.007

    ZHU Z, YUAN X L. High-speed water-entry impact and cavity characters of cylinder[J]. Computer Simulation, 2014, 31(3): 29-33. doi: 10.3969/j.issn.1006-9348.2014.03.007
    [16] 侯昭, 孙铁志, 张桂勇, 等. 回转体倾斜入水空泡试验及六自由度数值计算研究[J]. 宇航总体技术, 2017, 1(4): 38-45.

    HOU Z, SUN T Z, ZHANG G Y, et al. Experimental investigation and 6-DOF simulation of oblique waterentry cavity of revolution body[J]. Astronautical Systems Engineering Technology, 2017, 1(4): 38-45.
    [17] 王永虎. 空投雷弹入水冲击头型特性参数分析[J]. 航空计算技术, 2010, 40(06): 14-17.

    WANG Y H. Nose performance description coefficience of air borne torpedo and deep-mine during water-entry impact[J]. Aeronautical Computing Technique, 2010, 40(06): 14-17.
    [18] 龙腾, 梁津铭, 张宝收, 等. 跨介质飞行器串行入水流场演化与运动特性研究[J]. 机械工程学报, 2025, 1-10.

    LONG T, LIANG J M, ZHANG B S, et al. Study on the motion characteristics and water field evolution of cross-medium aircrafts entry water in tandem[J]. Journal of Mechanical Engineering, 2025, 1-10.
    [19] 任泽宇, 王小刚, 孔德才, 等. 跨介质飞行器倾斜入水弹道拉平特性研究[J]. 宇航总体技术, 2025, 9(02): 525-58.

    REN Z Y, WANG X G, KONG D C, et al. Study on the flattening characteristics of oblique water entry trajectory of trans-media aircrafts[J]. Astronautical Systems Engineering Technology, 2025, 9(02): 525-58.
    [20] 彭睿哲, 冯和英, 向敏, 等. 头部喷气式超空泡航行体垂直入水性能研究[J]. 振动与冲击, 2024, 43(20): 238-246. doi: 10.13465/j.cnki.jvs.2024.20.025

    PENG R Z, FENG H Y, XIANG M, et al. A study on the vertical water entry performance of a head jet supercavitating navigation body[J]. Journal of Vibration and Shock, 2024, 43(20): 238-246. doi: 10.13465/j.cnki.jvs.2024.20.025
    [21] KHABAKHPASHEVA T I, KOROBKIN A A, MALENICA S, et al. Water entry of an elastic conical shell[J]. Journal of Fluid Mechanics, 2024, 980: A34. doi: 10.1017/jfm.2024.17
    [22] LIU X, LIU W, MING F, et al. Investigation of free surface effect on the cavity expansion and contraction in high-speed water entry[J]. Journal of Fluid Mechanics, 2024, 988: A53. doi: 10.1017/jfm.2024.473
    [23] GUO Z, ZHANG W, XIAO X, et al. An investigation into horizontal water entry behaviors of projectiles with different nose shapes[J]. International Journal of Impact Engineering, 2012, 49: 43-60. doi: 10.1016/j.ijimpeng.2012.04.004
    [24] 严卫生. 鱼雷航行力学[M]. 西安: 西北工业大学出版社, 2005.
    [25] 徐宣志. 鱼雷力学[M]. 北京: 国防工业出版社, 1992.
    [26] ЛОГВИНООВЧ Г В. Hydrodynamics of free-boundary flows[M]. Shanghai: Shanghai Jiao Tong University Press. 2012.
    [27] 李永利, 冯金富, 齐铎, 等. 航行器低速斜入水运动规律[J]. 北京航空航天大学学报, 2016, 42(12): 2698-2708. doi: 10.13700/j.bh.1001-5965.2016.0153

    LI Y L, FENG J F, QI D, et al. Movement rule of a vehicle obliquely water-entry at low speed[J]. Journal of Beijing University of Aeronautics and Astronautics, 2016, 42(12): 2698-2708. doi: 10.13700/j.bh.1001-5965.2016.0153
    [28] 王永虎, 石秀华. 空投鱼雷斜入水冲击动力建模及仿真分析[J]. 计算机仿真, 2009, 26(1): 46-49.

    WANG Y H, SHI X H. Modeling and simulation analysis of oblique water-entry impact dynamics of air-dropped torpedo[J]. Computer Simulation, 2009, 26(1): 46-49.
    [29] HIRT C W, NICHOLS B D. Volume of fluid (VOF) method for the dynamics of free boundaries[J]. Journal of Computational Physics, 1981, 39(1): 201-225. doi: 10.1016/0021-9991(81)90145-5
    [30] 薛景嘉, 左婧滢, 韦健飞, 等. 基于雷诺应力输运模型的气膜冷却效率预测标通量模型修正研究[J]. 推进技术, 2025, 46(8): 203-214.

    XUE J J, ZUO Q Y, WEI J F, et al. Scalar flux models modification for prediction of film cooling efficiency based on Reynolds stress model[J]. Journal of Propulsion Technology, 2025, 46 (8): 203-214.
    [31] 金亚昆. 桥墩局部冲刷坑发展中的三维紊流场研究[D]. 北京: 北京交通大学, 2014.
    [32] 陈宇翔. 物体穿过自由表面的多相流体动力学问题研究[D]. 哈尔滨: 哈尔滨工程大学, 2012.
    [33] DYMOND J H, MALHOTRA R. The Tait equation: 100 years on[J]. International Journal of Thermophysics, 1988, 9(6): 941-951. doi: 10.1007/BF01133262
    [34] 刘文韬. 细长航行体高速入水冲击载荷与结构响应机理研究[D]. 哈尔滨: 哈尔滨工程大学, 2024.
    [35] 孙光耀. 多种头型下细长航行体高速入水数值模拟研究[D]. 重庆: 重庆交通大学, 2024.
  • 加载中
计量
  • 文章访问数:  26
  • HTML全文浏览量:  17
  • PDF下载量:  27
  • 被引次数: 0
出版历程
  • 收稿日期:  2025-09-02
  • 修回日期:  2025-10-04
  • 录用日期:  2025-10-20
  • 网络出版日期:  2026-01-14
图(19)

目录

    /

    返回文章
    返回
    服务号
    订阅号