A Study on Flow-Induced Noise Simulation Using SUBOFF ModelBased on Bayesian Sparse Grids
-
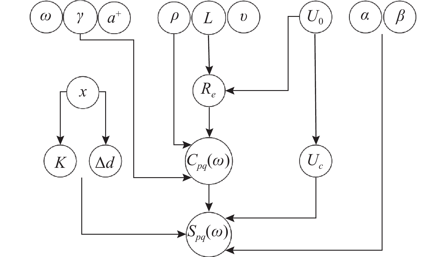
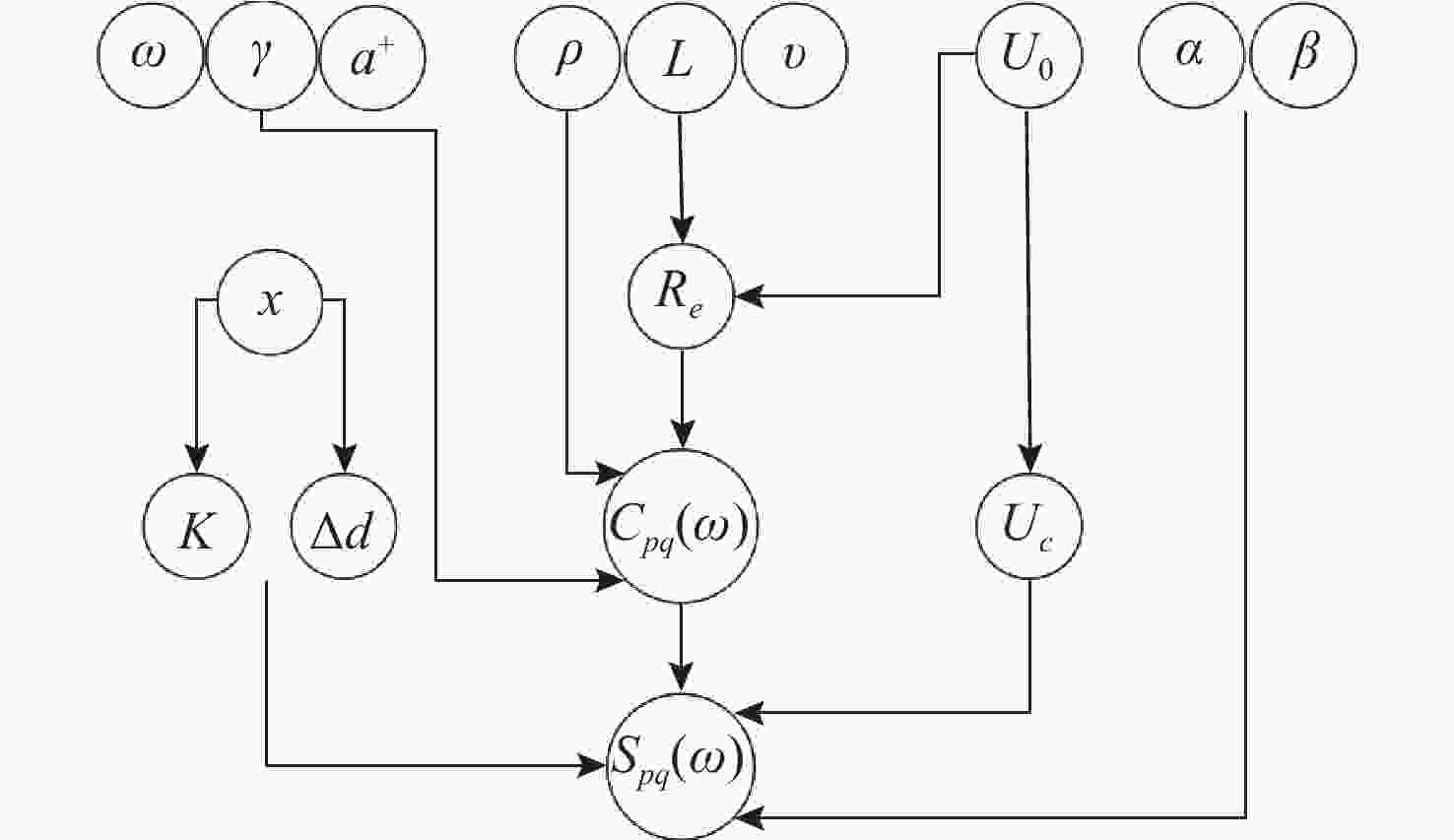
摘要: 文中提出了一种基于贝叶斯的稀疏网格修正方法, 旨在解决大尺度稀疏网格下有限元模型因网格尺寸与湍流边界层压力空间相关尺度不匹配, 而造成的流激噪声预测精度下降问题。以 DARPA SUBOFF 5470 潜艇模型为研究对象, 采用数值仿真方法探究了其在潜艇模型附体远场声辐射预测中的适用性。研究基于 Corcos 自谱与归一化互功率谱密度函数计算模型, 通过虚拟网格细化补偿低频湍流脉动压力的空间相关特征; 并结合工程特性与运动环境, 提取脉动压力影响因素的关联性, 最终构建了流激噪声激励力的贝叶斯网络模型。数值研究中采用增壁面解析 LES(WRLES-Wall-Resolved LES) 结合Ffowcs Williams-Hawkings(FW-H) 声类比方法, 通过修正后仿真计算得到的流激噪声与精细化网格流固耦合仿真计算结果, 及附体 SUBOFF 5470 构型与无附体模型在声学特性上进行对比, 仿真实验对比证明贝叶斯稀疏网格修正方法能弥补因网格尺度与湍流相关尺度不匹配引起的预测偏差, 验证了该方法的合理性与适用性。Abstract: This paper proposed a Bayesian-based sparse grid correction method to address the degradation in flow-induced noise prediction accuracy arising from mismatched spatial scales between finite element model grid dimensions and turbulent boundary layer pressure in large-scale sparse grids. By using the DARPA SUBOFF 5470 submarine model as a case study, numerical simulations were conducted to investigate its applicability in predicting far-field acoustic radiation from submarine appendages. The paper employed Corcos’s self-spectrum and normalized cross-power spectral density function computational model, utilizing virtual grid refinement to compensate for the spatial correlation characteristics of low-frequency turbulent pulsation pressures. By integrating engineering characteristics and operational environments, the correlation between pulsation pressure influencing factors was extracted, ultimately constructing a Bayesian network model for flow-induced noise excitation forces. By employing wall-resolved LES(WRLES) coupled with the Ffowcs Williams-Hawkings(FW-H) acoustic analogy method, the flow-induced noise obtained from the modified simulation calculations and the results of the refined grid fluid-structure interaction simulation. Acoustic characteristics were contrasted between the SUBOFF 5470 configuration with appendages and the bare hull. Simulation experiments demonstrate that the Bayesian sparse grid correction method effectively compensates for prediction errors arising from mismatches between grid dimensions and turbulence-relevant scales, validating the method’s validity and applicability.
-
Key words:
- far-field acoustic radiation /
- SUBOFF model /
- Bayesian /
- flow-induced noise /
- spatial correlation
-
表 1 贝叶斯网络节点划分
Table 1. Partitioning of Bayesian network node
类别 物理信息 变量状态 输入节点 $ \omega $ 连续变化 $ \Delta x $ 不变化 $ {\rho }_{0} $ 离散变化 $ L $ 不变化 $ \upsilon $ 离散变化 $ {U}_{0} $ 不变化 $\alpha $ 连续变化 $ \beta $ 连续变化 $ {a}^{+} $ 连续变化 $ \gamma $ 连续变化 中间节点 $ {C_{qq}}\left( \omega \right)$ 变化 Uc 连续变化 输出节点 ${S_{qq}}\left( \omega \right) $ 变化 表 2 带附体和无附体SUBOFF 5470模型主要几何参数
Table 2. Primary geometric parameters of SUBOFF 5470 model with and without appendages
参数 符号 数值 带附体模型 无附体模型 总长 L/m 4.356 4.356 最大船体直径 D/m 0.254 0.254 表面积 S/m2 6.338 5.988 表 3 不同方法计算时间对比
Table 3. Comparison of calculation times for different methods
计算模型 计算步骤 计算时长/h 总计算时长/h 贝叶斯修正
计算模型网格划分 0.5 146.5~147.5 激励修正 1~2 耦合计算 145 精细网格流固
耦合计算模型网格划分 6 977 耦合计算 971 -
[1] Tyler G D. The Emergence of low-frequency active acoustics as a aritical antisubmarine warfare technology[J]. Johns Hopkins APL Technical Digest, 1992, 13(1): 145-159. [2] Gilli A, Gilli M, Ricchi A, et al. Climate change and military power: Hunting for submarines in the warming ocean[J]. Texas National Security Review, 2024, 7(2): 16-41. [3] Li W, Song Z W, He Z Y, et al. Advancements in ship acoustic stealth technology based on acoustic absorbing and insulating metamaterials[J]. Chinese Journal of Ship Research, 2025, 20(5): 30. [4] Finnveden S, Birgersson F, Ross U, et al. A model of wall pressure correlation for prediction of turbulence-induced vibration[J]. Journal of Fluids and Structures, 2005, 20(8): 1127-1143. doi: 10.1016/j.jfluidstructs.2005.05.012 [5] Ichchou M N, Bareille O, Troclet B, et al. Vibroacoustics under aerodynamic excitations: Flinovia-flow induced noise and vibration issues and aspects[C]//First International Workshop on Flow Induced Noise and Vibration (FLINOVIA), 2014: 227-247. [6] Karimi M, Maxit L, Croaker P, et al. Analytical and numerical prediction of acoustic radiation from a panel under turbulent boundary layer excitation[J]. Journal of Sound and Vibration, 2020, 479: 115372. doi: 10.1016/j.jsv.2020.115372 [7] 李祖荟, 陈美霞. 湍流边界层激励下平板辐射噪声数值计算方法[J]. 中国舰船研究, 2017, 12(4): 76-82. doi: 10.3969/j.issn.1673-3185.2017.04.012Li Z H, Chen M X. Numerical method for calculating sound radiation characteristics of plate structure excited by turbulent boundary layer[J]. Chinese Journal of Ship Research, 2017, 12(4): 76-82. doi: 10.3969/j.issn.1673-3185.2017.04.012 [8] 高岩, 沈琪, 俞孟萨, 等. 大尺度回转体模型边界层壁面脉动压力测量及相似性分析[J]. 声学学报, 2025, 50(2): 299-307. doi: 10.12395/0371-0025.2024019Gao Y, Shen Q, Yu M S, et al. Measurement and similarity analysis of boundary layer wall pressure fluctuation in large-scale revolution body models[J]. Acta Acustica, 2025, 50(2): 299-307. doi: 10.12395/0371-0025.2024019 [9] Maxit L. Simulation of the pressure field beneath a turbulent boundary layer using realizations of uncorrelated wall plane waves[J]. The Journal of the Acoustical Society of America, 2016, 140(2): 1268-1285. doi: 10.1121/1.4960516 [10] 沈琪, 刘进, 高岩, 等. 稀疏网格条件下的水下航行体低频水动力噪声计算[J]. 声学学报, 2023, 48(5): 989-995. doi: 10.12395/0371-0025.2022055Shen Q, Liu J, Gao Y, et al. Low-frequency hydrodynamic noise calculation of underwater vehicle with sparse grid conditions[J]. Acta Acustica, 2023, 48(5): 989-995. doi: 10.12395/0371-0025.2022055 [11] Liu G, Hao Z R, Bie H Y, et al. Control mechanism of a vortex control baffle for the horseshoe vortex around the sail of a DARPA SUBOFF model[J]. Ocean Engineering, 2023, 275: 114166. doi: 10.1016/j.oceaneng.2023.114166 [12] Posa A, Balaras E. A numerical investigation of the wake of an axisymmetric body with appendages[J]. Journal of Fluid Mechanics, 2016, 792(1): 470-498. doi: 10.1017/jfm.2016.47 [13] Zhou Z T, Xu Z Y, Wang S Z, et al. Wall-modeled large-eddy simulation of noise generated by turbulence around an appended axisymmetric body of revolution[J]. Journal of Hydrodynamics, 2022, 34(4): 533-554. doi: 10.1007/s42241-022-0062-z [14] 周杰, 王良明, 傅健, 等. 基于Hyperband-贝叶斯优化-LSTM网络的高旋尾控修正弹修正能力研究[J]. 兵工学报, 2025, 46(7): 250-260. doi: 10.12382/bgxb.2024.0651Zhou J, Wang L M, Fu J, et al. Research on the correction capability of high-spin and tail-controlled correction projectile based on HBBO-LSTM Network[J]. Acta Armamentarii, 2025, 46(7): 250-260. doi: 10.12382/bgxb.2024.0651 [15] 唐贤琪, 施玉群, 杨海云, 等. 基于贝叶斯网络推理的大坝风险评估[J]. 武汉大学学报(工学版), 2024, 57(2): 152-158. doi: 10.14188/j.1671-8844.2024-02-003Tang X Q, Shi Y Q, Yang H Y, et al. Dam risk assessment based on Bayesian network inference[J]. Engineering Journal of Wuhan University, 2024, 57(2): 152-158. doi: 10.14188/j.1671-8844.2024-02-003 [16] 卢鑫月, 许成顺, 侯本伟, 等. 基于动态贝叶斯网络的地铁隧道施工风险评估[J]. 岩土工程学报, 2022, 44(3): 492-501. doi: 10.11779/CJGE202203011Lu X Y, Xu C S, Hou B W, et al. Risk assessment of metro construction based on dynamic Bayesian network[J]. Chinese Journal of Geotechnical Engineering, 2022, 44(3): 492-501. doi: 10.11779/CJGE202203011 [17] 谭凯中, 高琬晴, 刘健. 基于连续型贝叶斯概率估计器预测原子核质量[J]. 核技术, 2025, 48(5): 100-110. doi: 10.11889/j.0253-3219.2025.hjs.48.250104Tan K Z, Gao W Q, Liu J. Continuous Bayesian probability estimator in predictions of nuclear masses[J]. Nuclear Techniques, 2025, 48(5): 100-110. doi: 10.11889/j.0253-3219.2025.hjs.48.250104 [18] 张孟石, 王昕, 张亮, 等. 激波边界层干扰流动中SST模型的贝叶斯修正[J]. 力学学报, 2025, 57(9): 2122-2133. doi: 10.6052/0459-1879-24-038Zhang M S, Wang X, Zhang L, et al. Bayesian correction of sst model for shock wave-boundary layer interaction flows[J]. Chinese Journal of Theoretical and Applied Mechanics, 2025, 57(9): 2122-2133. doi: 10.6052/0459-1879-24-038 [19] 杨锐, 杨继龙, 刘晓凡, 等. 基于动态序列贝叶斯网络的空地协同作战意图识别[J]. 指挥控制与仿真, 2024, 46(3): 75-85.Yang R, Yang J L, Liu X F, et al. Air-ground cooperative operations intention recognition based on dynamic series Bayesian network[J]. Command Control & Simulation, 2024, 46(3): 75-85. [20] Corcos G M. Resolution of pressure in turbulence[J]. The Journal of the Acoustical Society of America, 1963, 35(2): 192-199. [21] Corcos G M. The structure of the turbulent pressure field in boundary-layer flows[J]. Journal of Fluid Mechanics, 1964, 18(3): 353-378. doi: 10.1017/S002211206400026X [22] 刘鹏. 深水全电采油树设计及可靠性评估关键技术研究[D]. 青岛: 中国石油大学(华东), 2020. [23] Jiang P, Liao S, Liu L, et al. Effects of appendages on the turbulence and flow noise of a submarine model using high-order scheme[PP]. arXiv(2025-03-25)[2026-02-02]. https://arxiv.org/abs/2503.19674. [24] Guo C, Wang X, Chen C, et al. Numerical investigation of self-propulsion performance and noise level of DARPA suboff model[J]. Journal of Marine Science and Engineering, 2023, 11(6): 1206. doi: 10.3390/jmse11061206 -

下载: