Underwater Vibro-acoustic Coupling Characteristics of a Simply Supported Plate Coupled with a Quasi-Zero Stiffness Vibration Isolation
-
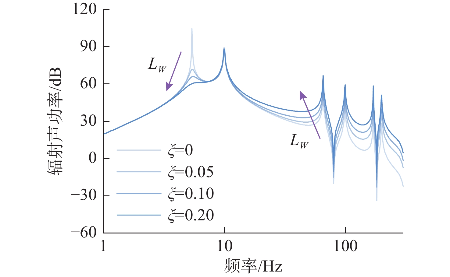
摘要: 动力舱段结构振动噪声严重影响了水下航行器的声隐身性能, 利用隔振技术减小或隔离振动传递是降低结构振动噪声的有效途径, 然而传统线性隔振技术难以实现低频减振降噪。对此, 文中提出在激励源与弹性结构之间, 利用准零刚度隔振方法减小设备振动的传递, 进而降低水下结构振动辐射噪声。以准零刚度隔振器耦合简支板为研究对象, 考虑互耦合效应的辐射声阻抗矩阵, 建立并求解振声耦合方程, 进而通过有限元仿真验证理论模型的准确性。研究结果表明, 相较于线性隔振系统, 准零刚度隔振系统显著降低了起始隔振频率, 提升了低频隔振效率。同时, 准零刚度的引入使得系统共振频率远低于简支板高辐射效率的体积控制模态, 频域失配机制从源头上有效阻断了振动能量向辐射声能的转化, 在 10.6 Hz 以上的全频段内将辐射声功率降低了 15 dB, 解决了水下结构低频减振降噪问题, 为水下航行器动力舱段的声隐身设计提供了理论参考。Abstract: Structural vibration noise from the power compartment critically impairs the acoustic stealth performance of underwater vehicles. Utilizing vibration isolation technology to attenuate or isolate vibration transmission is an effective approach to reduce structural vibration noise. However, traditional linear vibration isolation technology struggles to achieve low-frequency vibration and noise reduction. To address this challenge, this paper proposes applying a Quasi-Zero-Stiffness (QZS) isolation method between the excitation source and the elastic structure to reduce the transmission of equipment vibration, thereby mitigating the vibration and radiated noise of underwater structures. Taking a QZS isolator coupled with a simply supported plate as the research object, the vibro-acoustic coupling equations are established and solved by considering the radiation acoustic impedance matrix with mutual coupling effects. Subsequently, the accuracy of the theoretical model is validated through finite element simulations. The results indicate that, compared to the linear isolation system, the QZS isolation system significantly reduces the initial isolation frequency and enhances low-frequency isolation efficiency. Furthermore, the introduction of QZS shifts the system's resonance frequency far below the high-radiation-efficiency volumetric control modes of the simply supported plate. This frequency mismatch mechanism effectively blocks the conversion of vibration energy into radiated acoustic energy at the source, reducing the radiated sound power by 15 dB across the entire frequency band above 10.6 Hz. This study resolves the issue of low-frequency vibration and noise reduction in underwater structures, providing a solid theoretical reference for the acoustic stealth design of power compartments in underwater vehicles.
-
表 1 准零刚度隔振器的结构参数
Table 1. Structural parameters of quasi-zero-stiffness vibration isolator
名称/单位 符号 数值 外磁环内半径/mm $ {R}_{\text{LI}} $ 25 外磁环外半径/mm $ {R}_{\text{LO}} $ 40 内磁环内半径/mm $ {R}_{\text{SI}} $ 10 内磁环外半径/mm $ {R}_{\text{SO}} $ 15 内磁环高度/mm L1 10 外磁环高度/mm L2 10 内磁环剩磁/T Bl1 1.2 外磁环剩磁/T Bl2 1.2 线性弹簧刚度/(N/mm) kv 10 表 2 刚度拟合多项式的系数
Table 2. The coefficients of the stiffness fitting polynomial
名称/单位 值 名称/单位 值 $ {k}_{b1} $/(N/m) $ 2\;100 $ $ {k}_{b5} $/(N/m) $ {-2.215}\times {\text{10}}^{11} $ $ {k}_{b3} $/(N/m) $ \text{5.691}\times {\text{10}}^{7} $ $ {k}_{b7} $/(N/m) $ \text{4.462}\times {\text{10}}^{14} $ 表 3 板的材料和几何参数与以及流体参数
Table 3. Material and geometric parameters of the plate and the fluid
参数/单位 符号 值 杨氏模量$ /{\mathrm{Gpa}} $ $ E $ 210 板阻尼比 $ {\xi }_{p} $ 0.05 泊松比 $ \nu $ 0.33 长宽高$ /{\mathrm{m}} $ $ a\times b\times H $ $ 1\times 0.8\times 0.005 $ 板密度$ /({\mathrm{kg}}/{{\mathrm{m}}}^{3}) $ $ \rho $ 7850 空气密度$ /({\mathrm{kg}}/{{\mathrm{m}}}^{3}) $ $ {\rho }_{\mathrm{air}} $ 1.23 水密度$ /({\mathrm{kg}}/{{\mathrm{m}}}^{3}) $ $ {\rho }_{\mathrm{water}} $ 1000 空气声速$ /({\mathrm{m/s}}) $ $ {c}_{\mathrm{air}} $ 343 水声速$ /({\mathrm{m/s}}) $ $ {c}_{\mathrm{water}} $ 1500 隔振器坐标$ /{\mathrm{m}} $ $ {x}_{0}\times {y}_{0} $ $ 0.5\times 0.4 $ 隔振器质量$ /{\mathrm{kg}} $ $ {m}_{0} $ 1.72 隔振器刚度$ /({\mathrm{N/m}}) $ $ {k}_{q\text{zs}} $ 2100 隔振器阻尼比 $ {\xi }_{0} $ 0.1 表 4 系统前两阶共振频率
Table 4. The first two natural frequencies of the system
参数 子结构固有频率/Hz 耦合系统固有频率/Hz $ {k}_{1}/(\text{N/m}) $ 隔振器$ {f}_{r} $ 平板$ f_{1}^{p} $ 系统$ {f}_{1} $ 系统$ {f}_{2} $ $ 1\times {10}^{3} $ 3.84 9.87 3.80 9.87 $ 1\times {10}^{4} $ 12.14 9.87 9.68 12.4 $ 1\times {10}^{5} $ 38.38 9.87 9.87 37.5 -
[1] Dylejko P, Kessissoglou N, Tso Y, et al. Optimisation of a resonance changer to minimise the vibration transmission in marine vessels[J]. Journal of Sound and Vibration, 2007, 300(1/2): 101-116. [2] 史小锋, 党建军, 梁跃, 等. 水下攻防武器能源动力技术发展现状及趋势[J]. 水下无人系统学报, 2021, 29(6): 634-647.Shi X F, Dang J J, Liang Y, et al. Development status and trend of energy and power technology for underwater offensive and defensive weapons[J]. Journal of Unmanned Undersea Systems, 2021, 29(6): 634-647. [3] Yan X W, Liu C, Yin X Y, et al. Review of research results concerning the modelling of shipping noise[J]. Polish Maritime Research, 2021, 28(1): 102-115. doi: 10.2478/pomr-2021-0027 [4] Wang W H, Cheng L. Machine vibration induced underwater acoustic radiation[J]. Journal of Marine Science and Technology, 2000, 8(2): 70-76. [5] Zuo Y Y, Yang D Q, Zhuang Y Z. Broadband transient vibro-acoustic prediction and control for the underwater vehicle power cabin with metamaterial components[J]. Ocean Engineering, 2024, 298: 117121. doi: 10.1016/j.oceaneng.2024.117121 [6] Liu B, Wang S, Yang Y, et al. Covert underwater acoustic communication using marine ambient noise without detectable features[J]. Journal of Marine Science and Engineering, 2024, 12(12): 2217. doi: 10.3390/jmse12122217 [7] Zhang X B, Sun H X, Kaneko A. Editorial: Ocean observation based on underwater acoustic technology[J]. Frontiers in Marine Science, 2023, 10: 1150269. doi: 10.3389/fmars.2023.1212840 [8] Zhou J X, Zhou J, Pan H G, et al. Multi-layer quasi-zero-stiffness meta-structure for high-efficiency vibration isolation at low frequency[J]. Applied Mathematics and Mechanics (English Edition), 2024, 45(5): 1189-1208. doi: 10.1007/s10483-024-3157-6 [9] Chang Y P, Zhou J X, Wang K, et al. A quasi-zero-stiffness dynamic vibration absorber[J]. Journal of Sound and Vibration, 2021, 494: 115859. doi: 10.1016/j.jsv.2020.115859 [10] Junger M C. Vibrations of elastic shells in a fluid medium and the associated radiation of sound[J]. Journal of Applied Mechanics, 1952, 19(4): 439-445. Journal of Applied Mechanics, 1952, 19(4): 439-445. [11] Junger M C. The physical interpretation of the expression for an outgoing wave in cylindrical coordinates[J]. Journal of the Acoustical Society of America, 1953, 25(1): 40-47. [12] Maidanik G. The influence of fluid loading on the radiation from orthotropic plates[J]. Journal of Sound and Vibration, 1966, 3(3): 288-299. [12] Maidanik G. The influence of fluid loading on the radiation from orthotropic plates[J]. Journal of Sound and Vibration, 1966, 3(3): 288-299. doi: 10.1016/0022-460X(66)90097-6 [13] Guo W J, Feng Q S, Liu Z Y, et al. A new solution for vibroacoustic analysis of two-dimensional cylindrical shells partially liquid-filled or partially submerged in fluid[J]. Mechanical Systems and Signal Processing, 2020, 140: 106685. doi: 10.1016/j.ymssp.2020.106685 [14] Wang X, Lin H, Zhu Y, et al. Vibro-acoustic modelling of immersed cylindrical shells with variable thickness[J]. International Journal of Naval Architecture and Ocean Engineering, 2020, 12: 367-377. [15] Wang X Z. Vibration analysis and energy transmission of finite coupled Mindlin plates[J]. International Journal of Structural Stability and Dynamics, 2016, 17(7): 1771007. [16] Ma X L, Jin G Y, Xiong Y P, et al. Active structural acoustic control of an elastic cylindrical shell coupled to a two-stage vibration isolation system[J]. International Journal of Mechanical Sciences, 2014, 79: 182-194. doi: 10.1016/j.ijmecsci.2013.12.010 [17] Xu Y, Yang T J, Li Y, et al. A theoretical analysis on the active structural acoustical control of a vibration isolation system with a coupled plate-shell foundation[J]. International Journal of Mechanical Sciences, 2020, 170: 105334. doi: 10.1016/j.ijmecsci.2019.105334 [18] Zou M S, Tang H C, Jiang L W, et al. Numerical-analytical hybrid calculation method for acoustic radiation of underwater vehicles with internal vibration isolation system[J]. Journal of Sound and Vibration, 2025, 615: 119213. doi: 10.1016/j.jsv.2025.119213 [19] Zou M S, Jiang L W, Liu S X. Computational method of underwater acoustic radiation from a spherical shell coupled with nonlinear systems[J]. Journal of Sound and Vibration, 2022, 533: 117020. doi: 10.1016/j.jsv.2022.117020 [20] Liu J F, Lou J J, Chai K, et al. Nonlinear vibration-acoustic analysis of the coupled system of flexible cylindrical shell foundation and HSLDS vibration isolator[J]. Thin-Walled Structures, 2025, 209: 11289. [21] Wang K, Zhou J X, Ouyang H J, et al. A semi-active metamaterial beam with electromagnetic quasi-zero-stiffness resonators for ultralow-frequency band gap tuning[J]. International Journal of Mechanical Sciences, 2020, 176: 105548. doi: 10.1016/j.ijmecsci.2020.105548 [22] Li W L, Gibeling H J. An analytical solution for the self and mutual radiation resistance efficiency[J]. Journal of Sound and Vibration, 2001, 245(1): 1-16. [23] 朱拥勇, 刘宝. 简支矩形板在空气与水中声辐射特性比较[J]. 噪声与振动控制, 2016, 36(3): 11-15.Zhu Y Y, Liu B. Comparison of the acoustic radiation characteristics of simply supported rectangular plates in the air and in the water[J]. Noise and Vibration Control, 2016, 36(3): 11-15. -

下载: