Design and Performance Analysis of a Pressure-Resistant and Sound-Absorbing Integrated Coating with High-Transmittance Composite
-
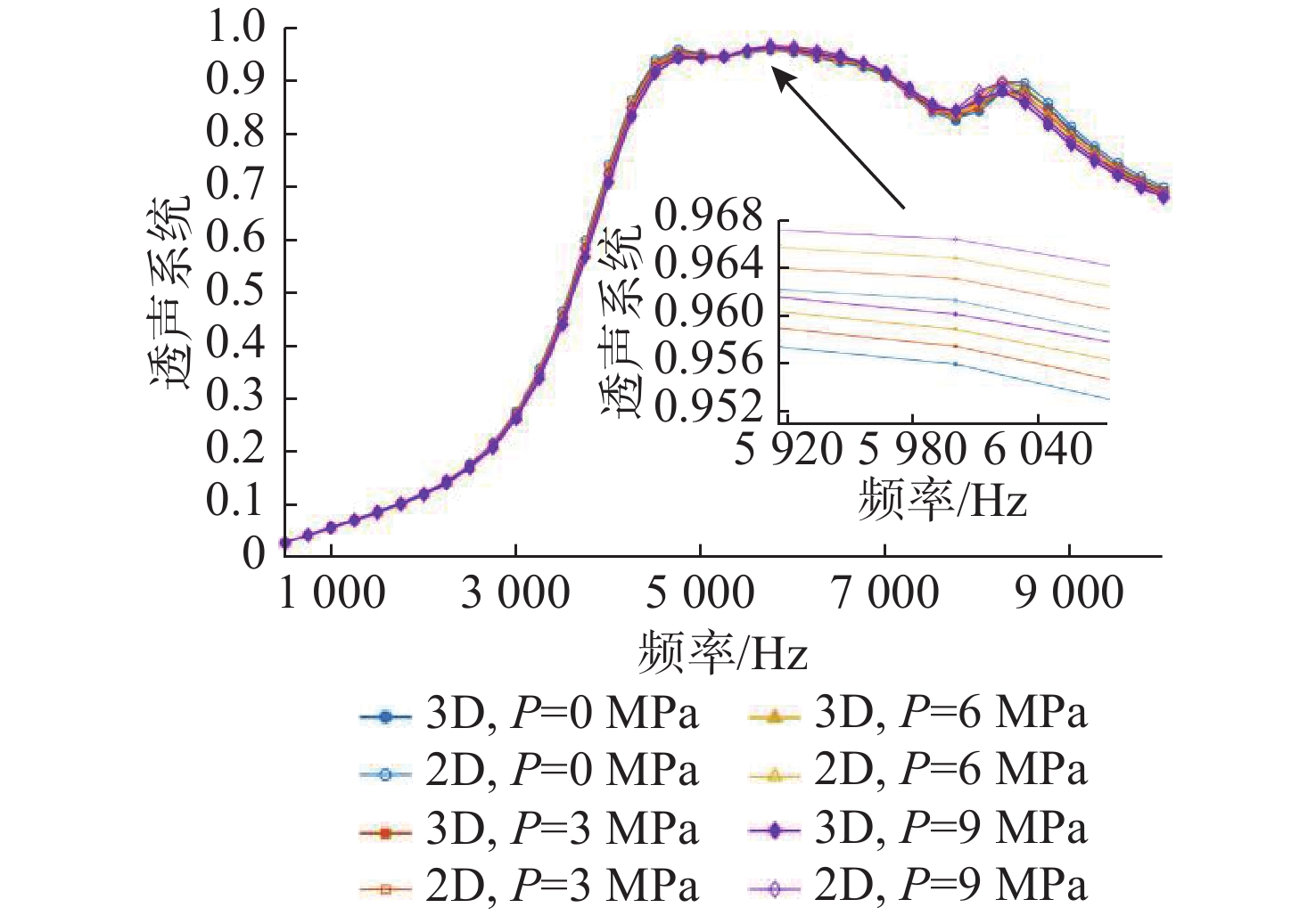
摘要: 针对传统空腔型橡胶吸声覆盖层在高压环境下吸声性能显著下降的问题, 提出一种含高透波复材的耐压与吸声一体化覆盖层结构。基于有限元方法, 建立考虑静压预应力、移动网格及声-固耦合频域扰动的数值模型, 研究不同静压下透声层的透声性能及3类空腔覆盖层的吸声特性。结果表明: 在0 ~ 9 MPa静水压作用下, 玻璃纤维增强塑料(GFRP)与碳纤维增强塑料 (CFRP)透声层均具有较高透声系数, 且受压力影响较小; 含高透波复材的矩形、叶形和锥形空腔覆盖层在4 ~ 10 kHz频段内吸声系数总体可达0.7以上, 且随静压变化较小。高透波复材能够有效抑制静压引起的空腔结构变形, 从而提高覆盖层在高压环境下吸声性能的稳定性。文中研究可为高压环境下水下吸声覆盖层的设计提供参考。Abstract: To address the significant degradation in sound absorption performance of conventional cavity-type rubber coatings under high hydrostatic pressure, a pressure-resistant and sound-absorbing integrated coating with a high-transmission composite layer is proposed. Based on the finite element method, a numerical model considering hydrostatic pre-stress, moving mesh, and acoustic-structure coupled frequency-domain perturbation is established to investigate the sound transmission performance of the composite layer and the sound absorption characteristics of three cavity configurations under different static pressures. The results show that, under hydrostatic pressures of 0-9 MPa, both glass fiber reinforced plastic(GFRP) and carbon fiber reinforced plastic(CFRP) layers maintain high sound transmission coefficients with limited pressure sensitivity. The rectangular, petal-shaped, and conical cavity coatings with the high-transmission composite layer all achieve sound absorption coefficients generally above 0.7 in the 4-10 kHz range, with only slight variation under different pressures. The high-transmission composite layer effectively suppresses pressure-induced deformation of the cavity structure, thereby improving the stability of sound absorption performance under high-pressure conditions. This study provides a reference for the design of underwater sound-absorbing coatings in high-pressure environments.
-
表 1 透声层各项材料参数
Table 1. Material parameters of sound permeable layer
材料层 半径/mm 密度/(kg/m3) 杨氏模量/(MPa) 泊松比 GFRP 25 1 730 7 000 0.220 CFRP 25 1 462 58 700 0.032 表 2 模型各层材料参数
Table 2. Material parameters of each layer of the model
材料层 水层 钢层 空腔 PU90 密度/(kg/m3) 1 000 7 850 1.4 1 050 杨氏模量/MPa - 205 000 - 72-203 泊松比 - 0.28 - 0.475 损耗因子 - 0.001 - 0.306-0.402 -
[1] 罗忠, 朱锡, 林志驼, 等. 水下吸声覆盖层结构及吸声机理研究进展[J]. 舰船科学技术, 2009(8): 23-30.Luo Z, Zhu X, Lin Z T. et al. A review of underwater anechoic coating structure and absorption theories[J]. Ship Science and Technology, 2009(8): 23-30. [2] Zhao D, Zhao H, Yang H, et al. Optimization and mechanism of acoustic absorption of Alberich coatings on a steel plate in water[J]. Applied Acoustics, 2018, 140: 183-187. doi: 10.1016/j.apacoust.2018.05.027 [3] 董文凯, 陈美霞. 静压下考虑腔压的吸声覆盖层吸声性能分析[J]. 中国舰船研究, 2022, 17(1): 132-140.Dong W K, Chen M X. Sound absorption performance analysis of anechoic coating under hydrostatic pressure considering cavity pressure[J]. Chinese Journal of Ship Research, 2022, 17(1): 132–140. [4] 杨将政, 应童, 陶猛. 空腔涡状阶梯分布的复合结构吸声覆盖层研究[J]. 声学技术, 2025, 44(1): 108-115.Yang J Z, Ying T, Tao M. Study of composite structure anechoic coating with cavity vortex step distribution[J]. Technical Acoustics, 2025, 44(1): 108-115. [5] 王世博, 胡博, 张昊阳, 等. 含覆层圆柱空腔的声学材料水下吸声特性研究[J]. 振动与冲击, 2024, 43(14): 103-111.Wang S B, Hu B, Zhang H Y, et al. Underwater sound absorption of an acoustic material embedded with coated cylindrical cavities[J]. Journal of Vibration and Shock, 2024, 43(14): 103-111. [6] 代孜尧. 渐变式空腔水下吸声结构设计与性能研究[D]. 哈尔滨: 哈尔滨工业大学, 2021. [7] 周祥超. 静压下含空腔的吸声覆盖层性能分析与优化设计[D]. 大连: 大连理工大学, 2022. [8] 付宜风, 王虎鸣, 曹攀. 薄壁结构加强的纳米复合涂层深海高压吸声性能[J]. 中国机械工程, 2022, 33(12): 1444-1451.Fu Y F, Wang H M, Cao P. Thin shell structure enhanced nanocomposite coating for deep-sea high pressure sound absorption[J]. China Mechanical Engineering, 2022, 33(12): 1444–1451 [9] 应江, 陈文炯. 静压下含螺旋体空腔型覆盖层的吸声特性研究[J]. 舰船科学技术, 2025, 47(1): 113-119.Ying J, Chen W J. Research on the sound absorption characteristics of the cavity covering layer with spiral body under hydrostatic pressure[J]. Ship Science and Technology, 2025, 47(1): 113-119 [10] 何琳, 朱海潮、邱小军, 等. 声学理论与工程应用[M]. 北京: 科学出版社, 2006. [11] 陈文炯, 卢辰, 周祥超. 静压作用对吸声覆盖层性能的影响与分析[J]. 船舶, 2023, 34(3): 25-34.Chen W J, LU C, Zhou X C. Analysis on the effect of hydrostatic pressure on the performance of acoustic coating[J]. Ship and Boat, 2023, 34(03): 25-34. [12] 范进良, 赵秀英, 谢晗, 等. 新型水声透声橡胶材料的制备及性能研究[J]. 橡胶工业, 2014, 61(3): 133-137.Fan J L, Zhao X Y, Xie H, et al. Preparation and properties of new underwater acoustic rubber material[J]. Rubber Industry, 2014, 61(3): 133-137. [13] 关淑英. 先进复合材料的声学特性及其在水声工程中的应用[J]. 材料开发与应用, 1996(5): 2-10.Guan S Y. Acoustic characteristics and applications of advanced composites in underwater acoustic engineering[J]. Materials Development and Application, 1996(5): 2-10. [14] 吴萌, 庞广智, 王思伟. 玻璃钢导流罩插入损失仿真研究[J]. 电声技术, 2022, 46(12): 54-56.Wu M, Pang G Z , Wang S W. Research on insertion loss of fiberglass fairing[J]. Audio Engineering, 2022, 46(12): 54-56. [15] 董云龙, 梅志远. 复合材料夹层板水下透声性能分析[J]. 中国舰船研究, 2019, 14(增刊1): 121-125.Dong Y L, Mei Z Y. Analysis on underwater sound transmission properties of composite sandwich plates [J]. Chinese Journal of Ship Research, 2019, 14(Supp 1): 121-125. [16] Wang H, Cui Z, He X, et al. Underwater acoustic absorbing metamaterials by material-structure-functionality collaborative optimization[J]. International Journal of Mechanical Sciences, 2024, 281: 109573. doi: 10.1016/j.ijmecsci.2024.109573 [17] Fang X, Pan X, Zhang X, et al. Investigation on low-frequency and broadband sound absorption of the compact anechoic coating considering hydrostatic pressure[J]. Journal of Marine Science and Engineering, 2024, 12(4): 543. doi: 10.3390/jmse12040543 [18] Hu N, Jin J, Peng W, et al. Liquid-solid synergistic mechanism sound absorption for underwater anechoic coating[J]. International Journal of Mechanical Sciences, 2024, 269: 109045. doi: 10.1016/j.ijmecsci.2024.109045 [19] 张冲, 耿洪健. 静压下吸声覆盖层的遗传优化方法[J]. 四川兵工学报, 2015, 36(10): 150-153, 160.Zhang C, Geng H J. Genetic optimization method of sound absorbing overlay under static pressure[J]. Sichuan Ordnance Engineering Journal, 2015, 36(10): 150−153, 160. -

下载: