Operational Transfer Path Analysis with Total Least Squares Method
-
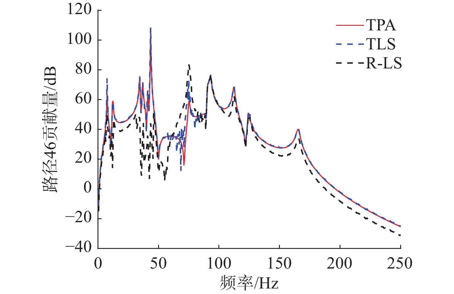
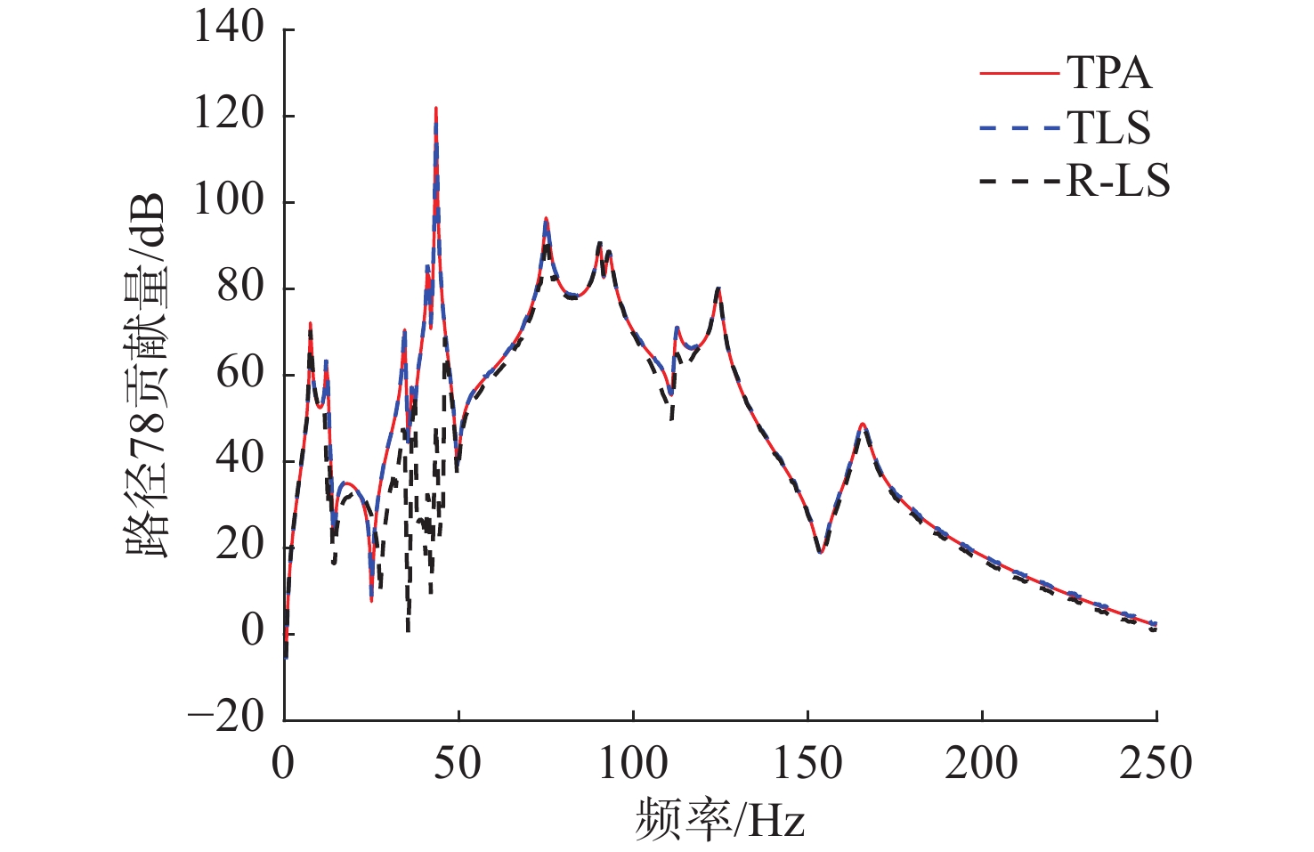
摘要: 工况传递路径分析(OTPA)通过不同工况下的响应数据, 实现对振动噪声的分解和预测, 在工程领域得到广泛应用。但振动噪声的响应数据不可避免包含误差, 严重影响OTPA的准确性。为减小误差的影响、提高传递率函数矩阵的准确性, 将总体最小二乘法引入OTPA以求解传递率函数矩阵。相较传统方法, 总体最小二乘法同时考虑了目标点与指示点响应数据的观测误差。分别采用正则化最小二乘模型和总体最小二乘模型,在数值模型与测试模型中开展OTPA并获取各路径贡献量。仿真结果表明, 总体最小二乘法识别的贡献量与经典传递路径分析贡献量吻合度更高; 相较于正则化最小二乘法, 总体最小二乘法在OTPA中适用性更强, 有效提高了OTPA的准确度。Abstract: Operational transfer path analysis(OTPA) utilizes response data under different working conditions to decompose and predict vibration noise and is therefore widely used in various engineering fields. However, the response data of vibration noise inevitably contains errors, which seriously affect the accuracy of the OTPA. To reduce the impact of errors and improve the accuracy of the transmissibility function matrix, the total least squares method was used to estimate the transmissibility function matrix. Compared to traditional methods, the total least squares method takes into account the observation errors in both the target point and indicator point response data. The regularized least squares model and the total least squares model were respectively adopted to perform OTPA in both numerical models and test models, and the contribution of each path was obtained. The simulation results show that the contribution identified by the total least squares method is more consistent with the contribution of classical transfer path analysis, indicating that compared with the regularized least squares method, the total least squares method has better applicability in OTPA, effectively improving the accuracy of OTPA.
-
表 1 9自由度模型参数
Table 1. Parameters of the nine-degrees of freedom model
参数类型 参数标识及数值 质量/kg M1=2; M2=1; M3=5.5; M4=3; M5=6;
M6=8; M7=2.5; M8=3.5; M9=4;刚度/(kN/mm) K01=0.1; K12=0.4; K17=0.5; K23=0.35;
K24=0.15; K35=0.13; K46=0.6; K59=0.27;
K69=0.39; K78=0.48; K89=0.29;阻尼/(kg/s) C01=1.1; C12=3.6; C17=6.2; C23=4.5;
C24=9.0; C35=8.3; C46=11.3; C59=14;
C69=16.3; C78=5.2; C89=7.0;表 2 实验仪器参数
Table 2. Parameters of experimental instruments
仪器 数量 标称灵敏度 采样频率/Hz B&K加速度计(4524 B) 3 100 mv/g 0.25~3 000 CL-YD力传感器 2 3.25 N/Pc 1 000 JZK-2 激振器 1 — 15 000 JZK-20 激振器 1 — 2 000 B&K数据采集处理系统 1 — 25 600 表 3 实验工况
Table 3. Experimental conditions
工况 点A激励 点B激励 1 随机 随机 2 随机 正弦扫频 3 正弦扫频 随机 4 正弦扫频 正弦扫频 -
[1] 王路, 尹韶平, 曹小娟, 等. 基于Workbench响应谱分析的鱼雷振动传递优化[J]. 鱼雷技术, 2016, 24(1): 13-17.Wang L, Yin S P, Cao X J, et al. Vibration transfer optimization of torpedo based on workbench response spectrum[J]. Journal of Unmanned Undersea Systems, 2016, 24(1): 13-17. [2] 王红瑞, 曹小娟, 尹韶平, 等. 鱼雷振动试验系统结构传递特性影响因素分析[J]. 水下无人系统学报, 2019, 27(5): 574-579. doi: 10.11993/j.issn.2096-3920.2019.05.014Wang H R, Cao X J, Yin S P, et al. Analysis on the factors influencing structural transfer characteristic of torpedo vibration test system[J]. Journal of Unmanned Undersea Systems, 2019, 27(5): 574-579. doi: 10.11993/j.issn.2096-3920.2019.05.014 [3] Yang S Q, Chang H, Wang Y H, et al. A phononic crystal suspension for vibration isolation of acoustic loads in underwater gliders[J]. Applied Acoustics, 2024, 216: 109731. doi: 10.1016/j.apacoust.2023.109731 [4] Sun Q D, Yang Y H, Wu P, et al. Study on the vibration-damping mechanism of a new phononic crystal suspension equipped on underwater gliders[J]. Journal of Marine Science and Engineering, 2024, 12(11): 2088. doi: 10.3390/jmse12112088 [5] 孙旭阳, 周景军, 王谦, 等. 基于声学超材料的鱼雷动力舱段减振方法[J]. 水下无人系统学报, 2024, 32(6): 1072-1081.Sun X Y, Zhou J J, Wang Q, et al. Vibration reduction method for power cabin of torpdoes based on acoustic metamaterials[J]. Journal of Unmanned Undersea Systems, 2024, 32(6): 1072-1081. [6] 马皋, 陈亚明, 沈德明, 等. 基于工况传递路径的旋转机械振动源分析[J]. 振动与冲击, 2022, 41(17): 276-281. doi: 10.13465/j.cnki.jvs.2022.17.034Ma G, Chen Y M, Shen D M, et al. Vibrtion source analysis of rotating machinery based on working condition transmission path[J]. Journal of Vibrtion and Shock, 2022, 41(17): 276-281. doi: 10.13465/j.cnki.jvs.2022.17.034 [7] Acri A, Offner G, Nijman E, et al. Substructuring of multibody systems for numerical transfer path analysis in internal combustion engines[J]. Mechanical Systems and Signal Processing, 2016, 79: 254-270. doi: 10.1016/j.ymssp.2016.02.034 [8] Oktav A, Yılmaz Ç, Anlaş G. Transfer path analysis: Current practice, trade-offs and consideration of damping[J]. Mechanical Systems and Signal Processing, 2017, 85: 760-772. doi: 10.1016/j.ymssp.2016.09.013 [9] Thite A N, Thompson D J. The quantification of structure-borne transmission paths by inverse methods. part 2: Use of regularization techniques[J]. Journal of Sound and Vibration, 2003, 264(2): 433-451. doi: 10.1016/S0022-460X(02)01203-8 [10] Ye S, Hou L, Zhang P, et al. Transfer path analysis and its application in low-frequency vibration reduction of steering wheel of a passenger vehicle[J]. Applied Acoustics, 2020, 157: 107021. doi: 10.1016/j.apacoust.2019.107021 [11] Maarten V, Dennis D K, Daniel J. R. General framework for transfer path analysis: History, theory and classification of techniques[J]. Mechanical Systems and Signal Processing, 2016, 68: 217-244. [12] Lage Y E, Neves M M, Maia N M M, et al. Force transmissibility versus displacement transmissibility[J]. Journal of Sound and Vibration, 2014, 333(22): 5708-5722. doi: 10.1016/j.jsv.2014.05.038 [13] Lage Y E, Maia N M M, Neves M M, et al. Force identification using the concept of displacement transmissibility[J]. Journal of Sound and Vibration, 2013, 332(7): 1674-1686. doi: 10.1016/j.jsv.2012.10.034 [14] De S G, Devriendt C, Guillaume P, et al. Operational transfer path analysis[J]. Mechanical Systems and Signal Processing, 2010, 24(2): 416-431. doi: 10.1016/j.ymssp.2009.07.011 [15] Gajdatsy P, Janssens K, Desmet W, et al. Application of the transmissibility concept in transfer path analysis[J]. Mechanical Systems and Signal Processing, 2010, 24(7): 1963-1976. doi: 10.1016/j.ymssp.2010.05.008 [16] Klerk D, Ossipov A. Operational transfer path analysis: Theory, guidelines and tire noise application[J]. Mechanical Systems and Signal Processing, 2010, 24(7): 1950-1962. doi: 10.1016/j.ymssp.2010.05.009 [17] Choi H G, Thite A N, Thompson D J. Comparison of methods for parameter selection in Tikhonov regularization with application to inverse force determination[J]. Journal of Sound and Vibration, 2007, 304(3-5): 894-917. doi: 10.1016/j.jsv.2007.03.040 [18] Cheng W, Lu Y, Zhang Z. Tikhonov regularization-based operational transfer path analysis[J]. Mechanical Systems and Signal Processing, 2016, 75: 494-514. doi: 10.1016/j.ymssp.2015.12.025 [19] Liu Y, Shepard W S. Dynamic force identification based on enhanced least squares and total least-squares schemes in the frequency domain[J]. Journal of Sound and Vibration, 2005, 282: 37-60. doi: 10.1016/j.jsv.2004.02.041 [20] 唐中华, 昝鸣, 张志飞, 等. 广义Tikhonov正则化工况传递路径分析[J]. 振动与冲击, 2022, 41(24): 270-277.Tang Z H, Zan M, Zhang Z F, et al. Operational transfer path analysis with generalized Tikhonov regularization method[J]. Journal of Vibrtion and Shock, 2022, 41(24): 270-277. [21] Jia Y, Yang Z, Guo N, et al. Random dynamic load identification based on error analysis and weighted total least squares method[J]. Journal of Sound and Vibration, 2015, 358: 111-123. doi: 10.1016/j.jsv.2015.07.035 [22] 鲁铁定, 周世健. 总体最小二乘的迭代解法[J]. 武汉大学学报(信息科学版), 2010, 35(11): 1351-1354.Lu T D, Zhou S J. An iterative algorithm for total least squares estimation[J]. Geomatics and Information Science of Wuhan University, 2010, 35(11): 1351-1354. [23] Wang Z, Zhu P. A system response prediction approach based on global transmissibilities and its relation with transfer path analysis methods[J]. Applied Acoustics, 2017, 123: 29-46. doi: 10.1016/j.apacoust.2017.02.016 [24] Vaitkus D, Tcherniak D, Brunskog J. Application of vibro-acoustic operational transfer path analysis[J]. Applied Acoustics, 2019, 154: 201-212. doi: 10.1016/j.apacoust.2019.04.033 [25] Shin K. An alternative approach to measure similarity between two deterministic transient signals[J]. Journal of Sound and Vibration, 2016, 371: 434-445. doi: 10.1016/j.jsv.2016.02.037 -

下载: