A Study on Uncertain Vibroacoustic Characteristics of Composite Underwater Shells
-
摘要: 现有研究多针对水下复合材料壳体振声响应的确定性分析, 但实际工程中结构参数、材料属性以及重流体参数等均具有不确定性。为此, 文中提出一种基于区间分析与代理模型的高效预测方法, 适用于重流体环境下阶梯结构的不确定性振声响应分析。文中研究对象为浸没于无限域重流体中的复合层合阶梯圆柱壳, 基于一阶剪切变形理论、能量法和基尔霍夫-亥姆霍兹积分构建振声耦合分析模型, 引入区间分析法描述参数波动, 采用Kriging代理模型替代高耗时边界元运算, 研究了各不确定性参数对复合层合阶梯圆柱壳声压级响应的影响, 在此基础上分析了影响较为明显的不确定性参数数值变化时响应曲线的偏移现象。结果表明, 多源不确定性导致显著的频率偏移与响应波动区间拓宽。该方法填补了重流体环境下复杂阶梯结构不确定性振声分析的空白, 实现了计算精度与效率的最优平衡。Abstract: The existing studies mostly focus on the deterministic analysis of the acoustic and vibration response of underwater composite shells, but the structural parameters, material properties and heavy fluid parameters in actual engineering are uncertain. Therefore, this paper presents an efficient prediction method based on interval analysis and agent model, which is suitable for the prediction of the vibration response of stair structures under heavy fluid environment. The research object is a composite laminated stepped cylindrical shell immersed in infinite domain heavy fluid. Based on the first-order shear deformation theory, energy method and Kirchhoff-Helmholtz integral, a vibration-acoustic coupled analysis model is established. The interval analysis method is introduced to describe the parameter fluctuation. The Kriging agent model is used to replace the time-consuming boundary element operation. The influence of various uncertain parameters on the sound pressure level response of the composite laminated stepped cylindrical shell is studied. On this basis, the deflection phenomenon of the response curve when the uncertain parameters change obviously. The results show that the multi-source uncertainty causes significant frequency shift and response fluctuation range widening. This method fills the gap of the uncertainty vibro-acoustic analysis of complex stepped structures in heavy fluid environment, and achieves the optimal balance between calculation accuracy and efficiency.
-
表 1 文中方法与传统Monte Carlo模拟方法的性能比较
Table 1. Performance comparison of the proposed method with traditional Monte Carlo simulation methods
响应计算
方法实际耦合
模型调用次数代理模型
预测次数总耗时/(h) 复相关
系数R2Monte Carlo 3 500 0 144.01 基准 Kriging 150 3 500 6.17 0.949 98 表 2 复合层合阶梯圆柱壳不确定性参数
Table 2. Uncertainty parameters of composite laminated stepped cylindrical shells
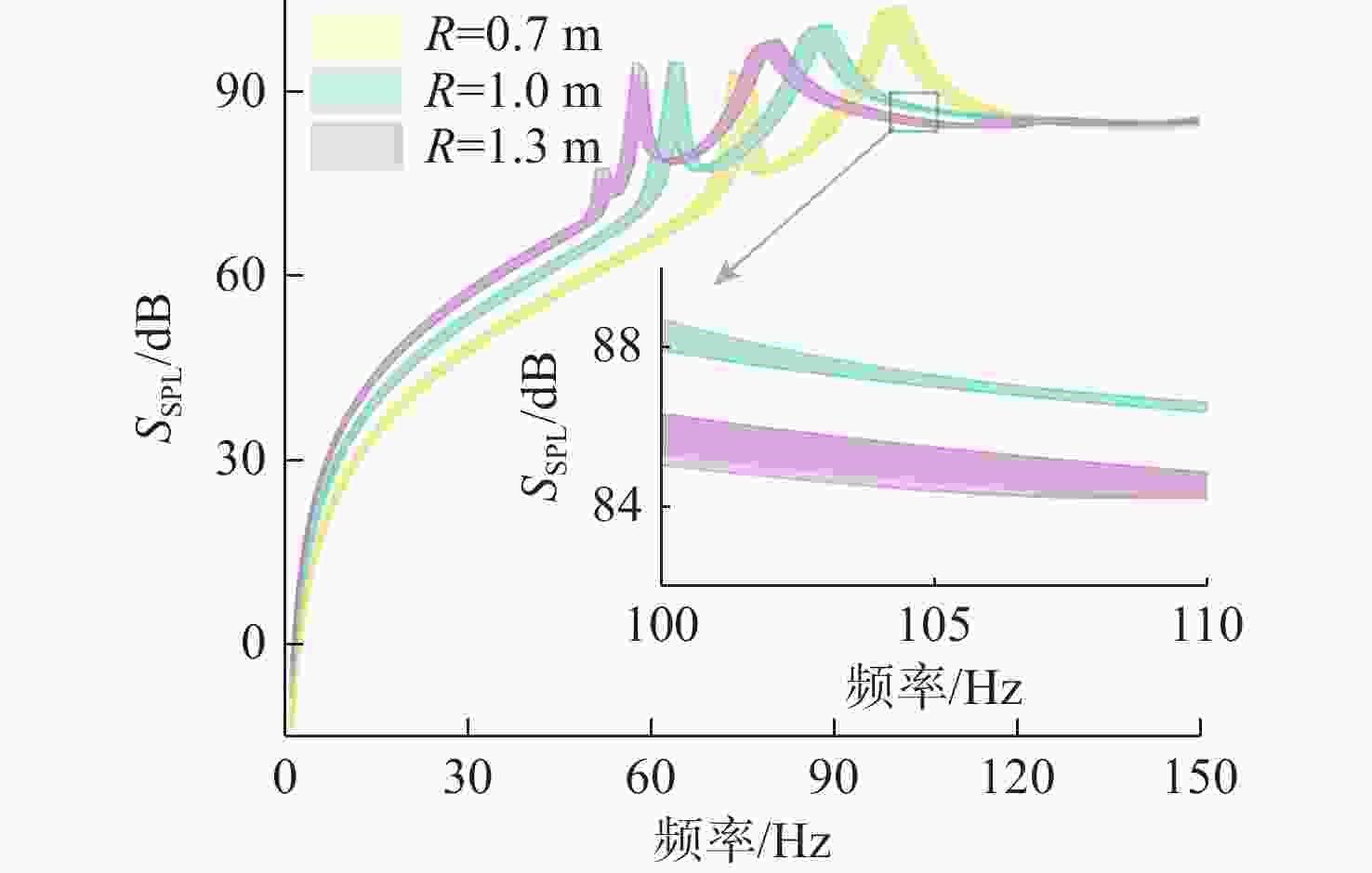
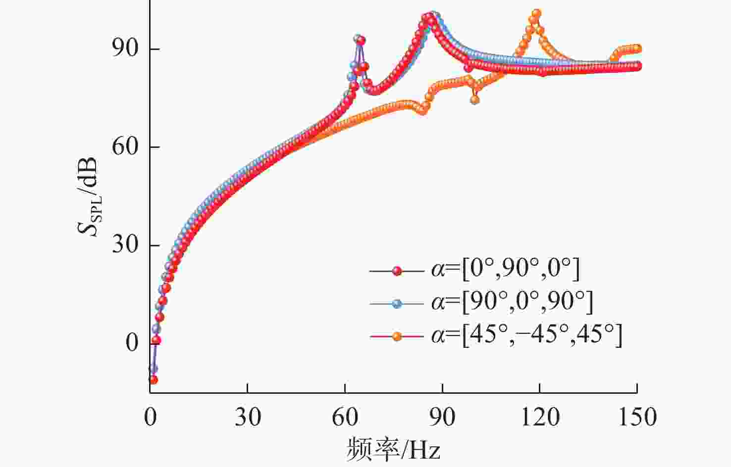
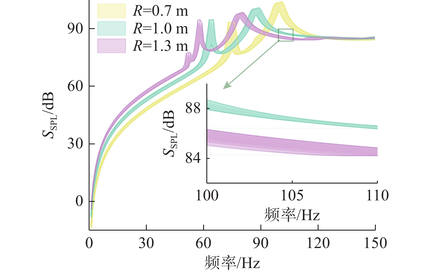
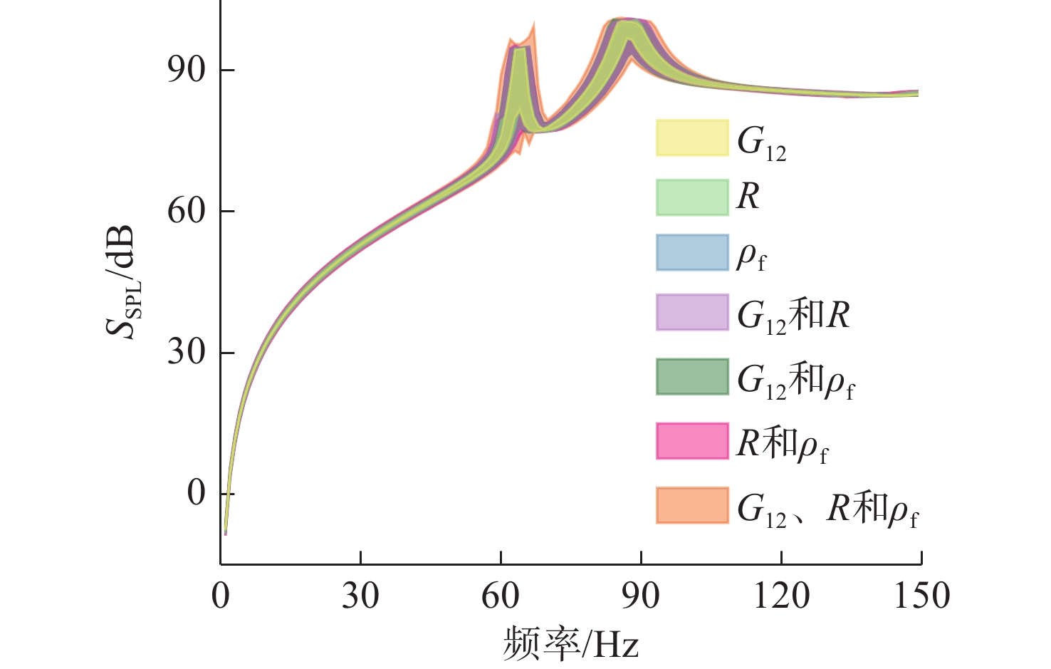
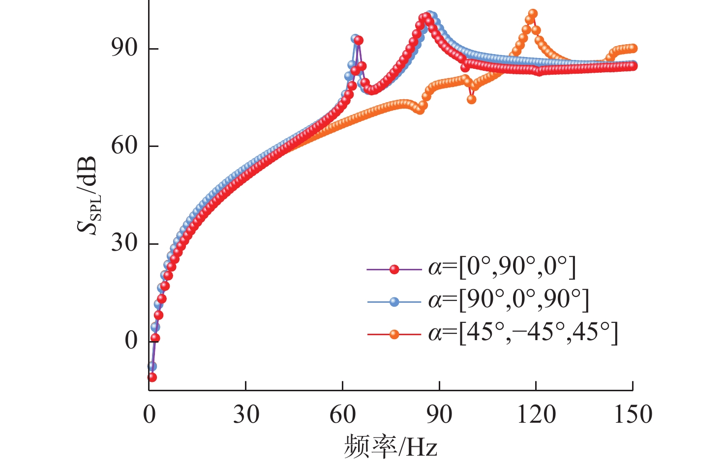
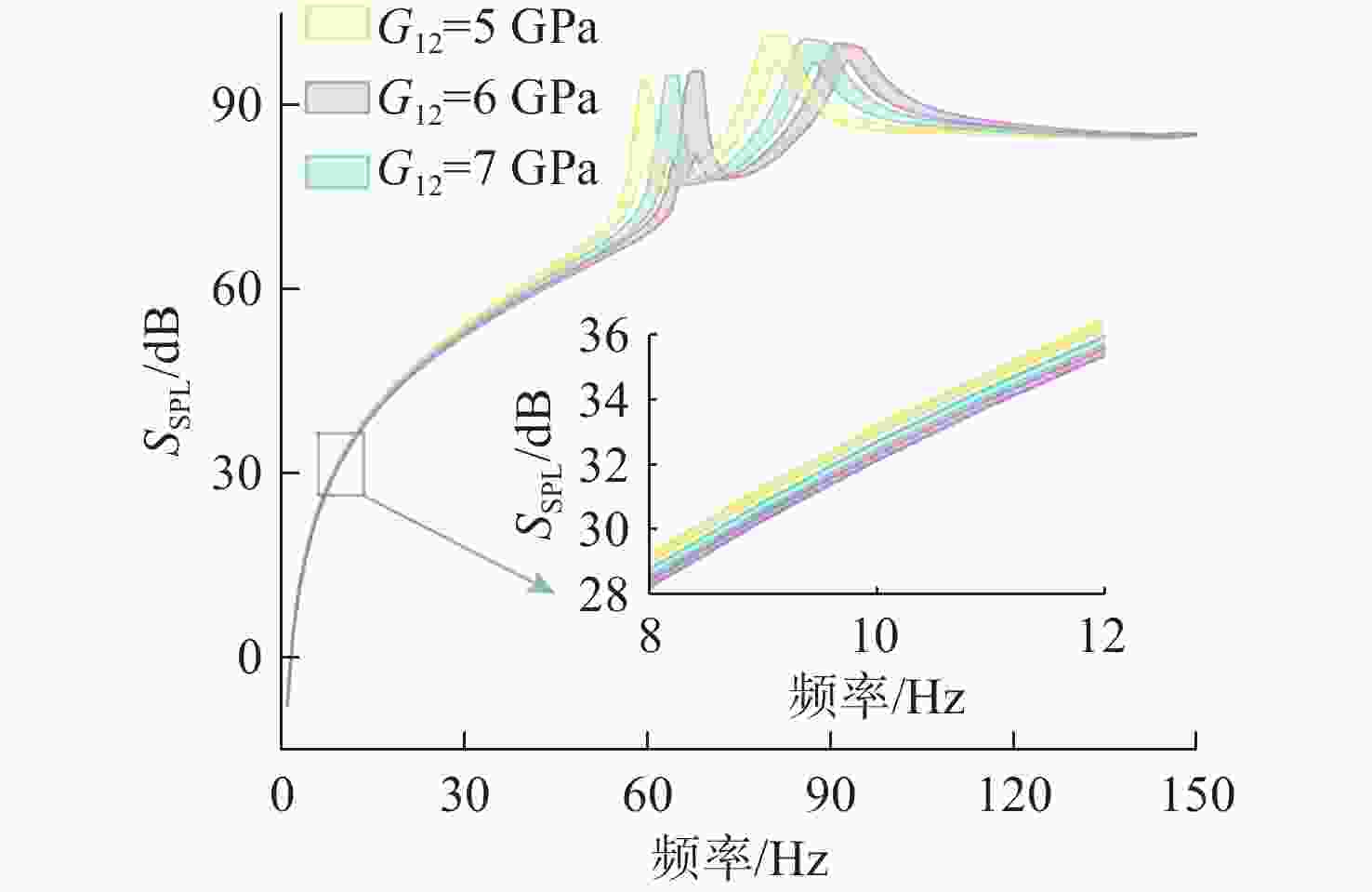
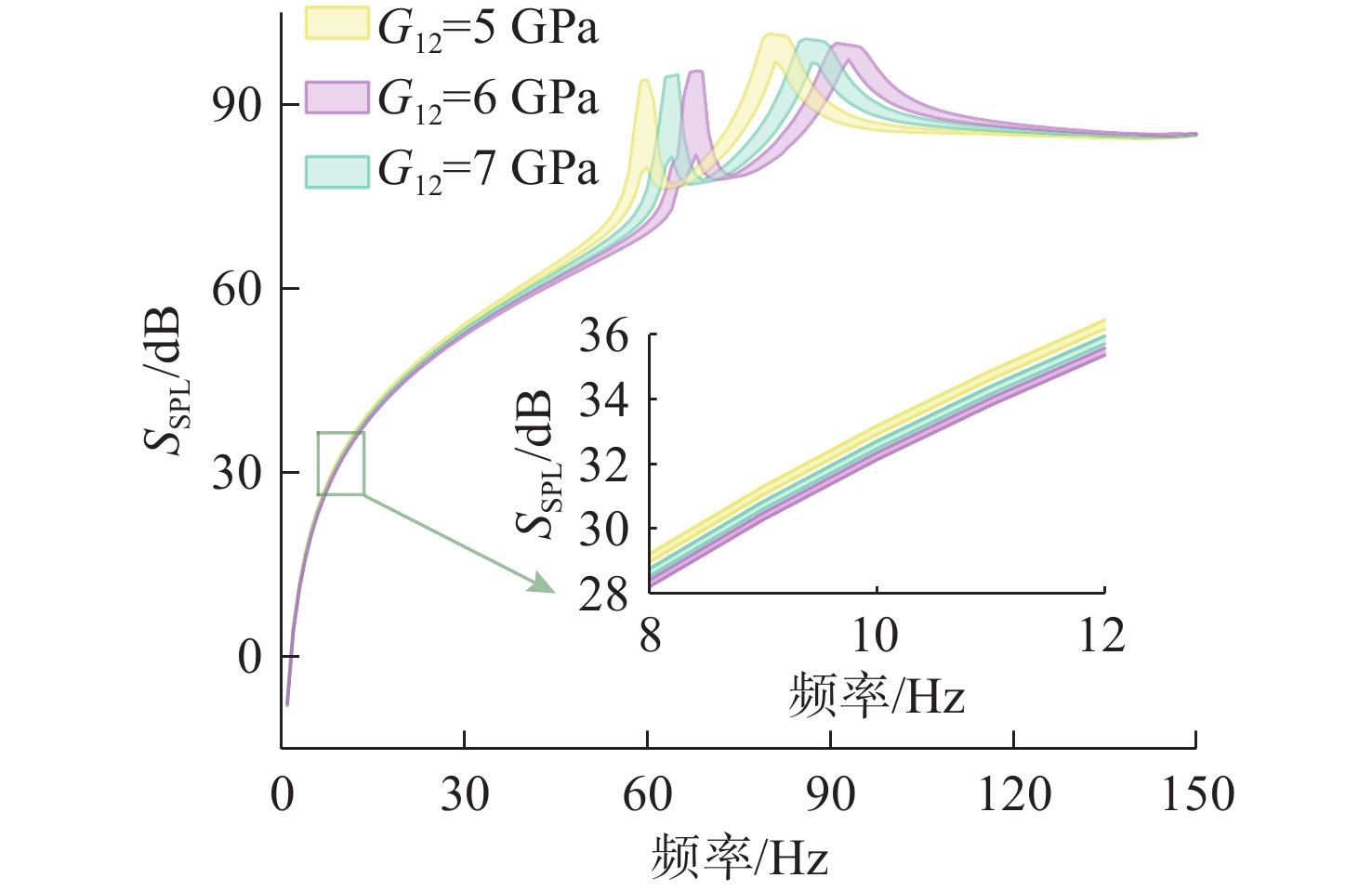
参数 确定性 不确定性 $ {E}_{1}\text{/(GPa)} $ 200 $ \left[190,210\right] $ $ {E}_{2}\text{/(GPa)} $ 10 $ \left[9.5,10.5\right] $ $ {\mu }_{12} $ 0.3 $ \left[0.285,0.315\right] $ $ {G}_{12}\text{/(GPa)} $ 6 $ \left[5.7,6.3\right] $ $ {G}_{13}\text{/(GPa)} $ 6 $ \left[5.7,6.3\right] $ $ {G}_{23}\text{/(GPa)} $ 4 $ \left[3.8,4.2\right] $ $ \alpha {\text{/(}}^{\circ }\text{)} $ $ \left[0,90,0\right] $ $ \left[ \begin{array}{c}\left[-2,2\right]\\\left[88,92\right]\\\left[-2,2\right]\end{array} \right] $ $ \rho {\text{/(kg/m}}^{3}\text{)} $ 1500 $ \left[1\;425,1\;575\right] $ $ R\text{/(m)} $ 1 $ \left[0.95,1.05\right] $ $ h\text{/(m)} $ [0.04 0.06 0.05] $\left[ {\begin{array}{*{20}{c}}{[0.039\;6,0.040\;4]}\\{[0.059\;4,0.060\;6]}\\{[0.049\;5,0.050\;5]}\end{array}} \right] $ $ {\rho }_{\text{f}}{\text{/(kg/m}}^{3}\text{)} $ 1025 $ \left[973.75.1\;076.25\right] $ $ {c}_{\text{f}}\text{/(m/s)} $ 1500 $ \left[1\;425,1\;575\right] $ -
[1] Bovio E, Cecchi D, Baralli F. Autonomous underwater vehicles for scientific and naval operations[J]. Annual Reviews in Control, 2006, 30(2): 117-130. doi: 10.1016/j.arcontrol.2006.08.003 [2] 刘洋, 陈练, 苏强, 等. 水下无人航行器装备技术发展与作战应用研究[J]. 舰船科学技术, 2020, 42(23): 1-7.Liu Y, Chen L, Su Q, et al. Research on the development and combat application of foreign underwater unmanned vehicle[J]. Ship Science and Technology, 2020, 42(23): 1-7. [3] 王伟平. 复合材料层合板动力学建模及区间不确定性优化研究[D]. 长沙: 中南大学, 2024. [4] Cuschieri J M, Dhanak M, Vendittis D. AUV self noise control and acoustic signature measurements. [J]. 1998. [5] 陈昱更, 王青山, 钟锐. 考虑参数不确定性的复合层合扇形板随机振动特性分析[J]. 计算力学学报, 2025, 42(3): 377-385. doi: 10.7511/jslx20231127003Chen Y G, Wang Q S, Zhong R. Random vibration analysis of the composite laminated sector plate considering parametric uncertainty[J]. Chinese Journal of Computational Mechanics, 2025, 42(3): 377-385. doi: 10.7511/jslx20231127003 [6] Gao C, Pang F Z, Li H C, et al. Forced vibration analysis of uniform and stepped circular cylindrical shells with general boundary conditions[J]. International journal of structural stability and dynamics, 2022, 22(12): 2250126 doi: 10.1142/S0219455422501267 [7] 李海超, 庞福振, 张航, 等. 阶梯厚度圆柱壳自由振动特性分析[J]. 振动工程学报, 2020, 33(6): 1226-1233.Li H C, Pang F Z, Zhang H, et al. Free vibration analysis of stepped cylindrical shells[J]. Journal of Vibration Engineering, 2020, 33(6): 1226-1233. [8] Juhyok U, Kim K. Vibro-Acuostic Response analysis of laminated composite multi-stepped cylindrical shells immersed in fluid medium[J]. Journal of Vibration Engineering & Technologies, 2024, 12(2): 2283-2300. doi: 10.1007/s42417-024-01534-6 [9] Wang X Z, Chen D, Xiong Y P, et al. Experiment and modeling of vibro-acoustic response of a stiffened submerged cylindrical shell with force and acoustic excitation[J]. Results in Physics, 2018, 11: 315-324. doi: 10.1016/j.rinp.2018.09.017 [10] Peters H, Kinns R, Kessissoglou N. Effects of internal mass distribution and its isolation on the acoustic characteristics of a submerged hull[J]. Journal of Sound & Vibration, 2014, 333(6): 1684-1697. doi: 10.1016/j.jsv.2013.10.017 [11] Kim K, Hong H, Jo S. Vibro-acuostic analysis of muti-stepped circular cylindrical shells immersed in flid medium[J]. Journal of Shipping and Ocean Engineeing, 2021, 15: 8-28. [12] Qu Y G, Chen Y, Long X H, et al. Free and forced vibration analysis of uniform and stepped circular cylindrical shells using a domain decomposition method[J]. Applied Acoustics, 2013, 74(3): 425-439. doi: 10.1016/j.apacoust.2012.09.002 [13] Mukhopadhyay T, Naskar S, Dey S, et al. On quantifying the effect of noise in surrogate based stochastic free vibration analysis of laminated composite shallow shells[J]. Composite Structures, 2016, 140: 798-805. doi: 10.1016/j.compstruct.2015.12.037 [14] Chen G H, Wang T, Lu C D, et al. Uncertainty representation of natural frequency for laminated composite cylindrical shells considering probabilistic and interval variables[J]. Applied Sciences, 2021, 11(4): 1883-1883. doi: 10.3390/app11041883 [15] Chen Y G, Zhong R, Wang Q S, et al. Dynamic analysis of composite laminated conical-cylindrical shells with random-interval uncertainties[J]. Thin-Walled Structures, 2026, 221: 114467-114467. doi: 10.1016/j.tws.2025.114467 [16] Huang T C, Wang Q S, Chen L M, et al. Kriging-based uncertainty optimization of vibration characteristics for laminated elliptical shells considering material and load uncertainties[J]. European Journal of Mechanics-A/Solids, 2025, 111: 105587. doi: 10.1016/j.euromechsol.2025.105587 [17] Li Z, Wang Q S, Zhong R, et al. Vibro-acoustic analysis of laminated composite cylindrical and conical shells using meshfree method[J]. Engineering Analysis with Boundary Elements, 2023, 152: 789-807. doi: 10.1016/j.enganabound.2023.05.004 [18] Parnianifard A, Azfanizam A S, Ariffin M K A, et al. An overview on robust design hybrid metamodeling: Advanced methodology in process optimization under uncertainty[J]. International Journal of Industrial Engineering Computations, 2018, 9: 1-32. doi: 10.5267/j.ijiec.2017.5.003 [19] Chen Y G, Wang Q S, Zhong R, et al. Fiber orientation and boundary stiffness optimization of laminated cylindrical shells with elastic boundary for maximum the fundamental frequency by an improved sparrow search algorithm[J]. Thin-Walled Structures, 2023, 193: 111299. doi: 10.1016/j.tws.2023.111299 [20] Zhao T Y, Li K, Ma H. Study on dynamic characteristics of a rotating cylindrical shell with uncertain parameters[J]. Analysis and Mathematical Physics, 2022, 12(4): 97. doi: 10.1007/s13324-022-00697-3 -

下载: