Distribution Characteristics of the Induced Electromagnetic Field of a Submarine Wake
-
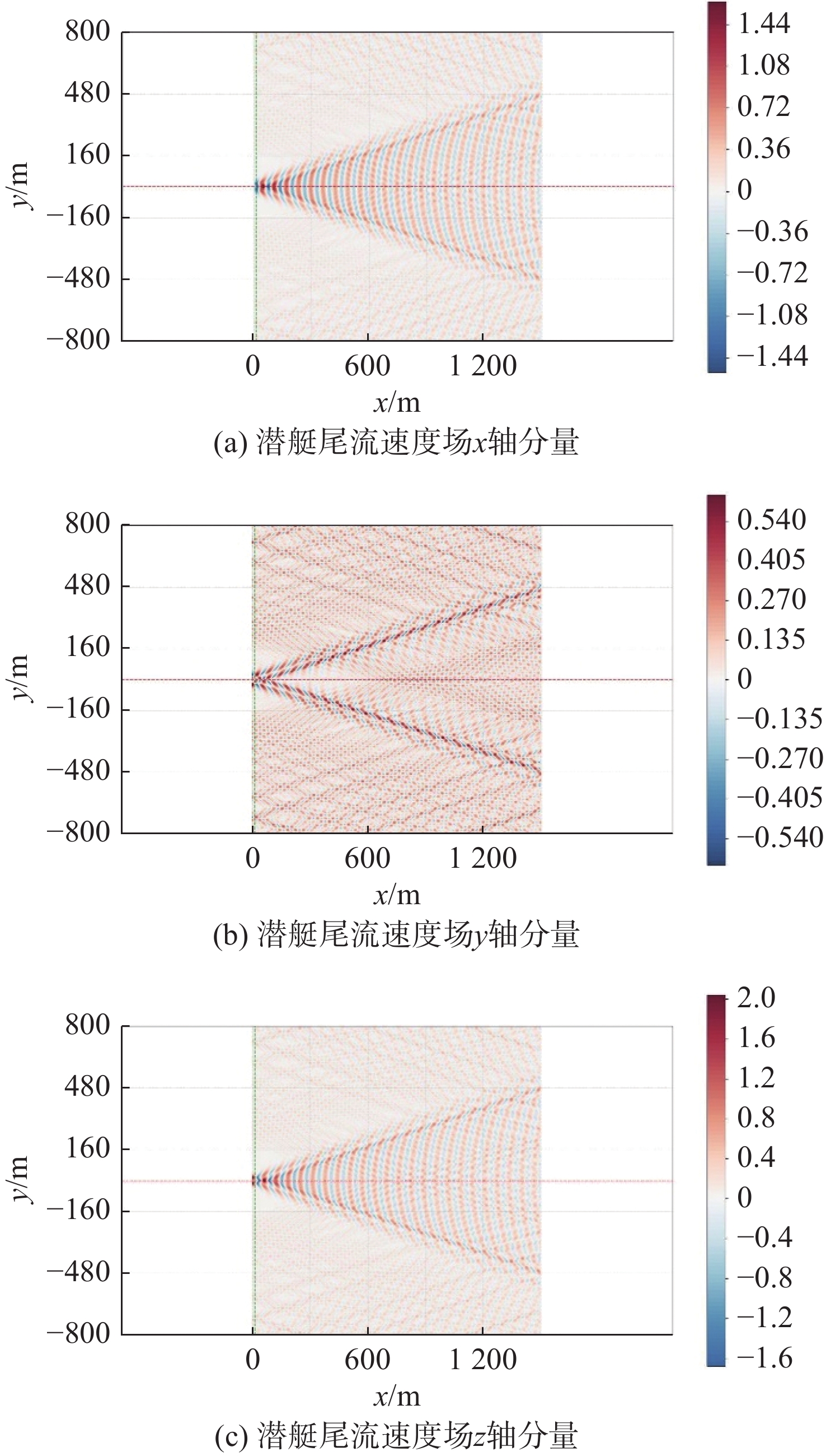
摘要: 潜艇尾流切割地磁场产生的感应电磁场为潜艇非声学探测提供了新途径, 然而现有研究多集中于水面舰船或有限水深环境, 且未能深入揭示下潜深度在无限深水域中对尾流电磁场的调控规律。针对此问题, 文中基于麦克斯韦方程组和流体力学基本理论, 利用水下潜艇尾流感应电磁场的数学模型进行数值仿真, 并重点对比分析了下潜10 m与下潜50 m两种典型深度下的场分布特征。结果表明: 当潜艇在水下运动时, 其尾流速度场分布呈典型V字形分布。尾流感应电磁场沿航迹呈指数衰减; 研究清晰揭示了深度效应的差异化影响: 随着下潜深度增加, 感应磁场峰值显著减弱(从0.3 nT降至0.1 nT), 感应电场峰值增强(从1 μV/m增至3 μV/m); 本研究从理论与仿真层面揭示了潜深对电磁场的影响规律, 证实了针对不同潜深目标需采用差异化探测策略的可行性, 为深海目标探测提供了新的理论依据。Abstract: The induced electromagnetic field generated by a submarine's wake cutting through the geomagnetic field provides a new approach for the non-acoustic detection of submarine. However, existing research has primarily focused on surface ships or environments with finite water depth, and has yet to thoroughly reveal the influence law of submersion depth on the wake's electromagnetic field in infinitely deep waters. To address this issue, this study employs numerical simulations based on Maxwell's equations and fundamental hydrodynamic theories, utilizing a mathematical model of the induced electromagnetic field in a submarine's wake. The distribution characteristics of the field at two typical depths—10 m and 50 m—are specifically compared and analyzed. The results indicate that when a submarine moves underwater, its wake velocity field exhibits a typical V-shaped distribution. The induced electromagnetic field of the wake decays exponentially along the trajectory. The research clearly reveals the differential impact of the depth effect: as the submersion depth increases, the peak induced magnetic field strength significantly decreases (from 0.3 nT to 0.1 nT), while the peak induced electric field strength increases (from 1 μV/m to 3 μV/m). This study theoretically and through simulation elucidates the influence of submersion depth on the electromagnetic field, confirms the feasibility of adopting differentiated detection strategies for targets at different depths, and provides a new theoretical basis for deep-sea target detection.
-
表 1 仿真参数设置
Table 1. Simulation Parameters
名称 参数 单位 艇长 100 m 潜艇速度 10 m/s 潜艇最大半径 20 m 海水电导率 5 S/m 地磁恒定强度 50 000 nT γ 0 ° I 60 ° -
[1] LONGUET H M S, STERN M E, STOMMEL H. The electrical field induced by ocean currents and waves, with application to the method of towed electrodes[J]. Massachusetts Institute of Technology and Woods Hole Oceanographic Institution, 1954, 13(1): 1-37. [2] CREWS A, FUTTERMAN J. Geomagnetic micropulsations due to the motion of ocean waves[J]. Journal of Geophysical Research, 1962, 67(5): 299-306. [3] LARSEN J C. An introduction to electromagnetic induction in the ocean[J]. Physics of the Earth and Planetary Interiors, 1973, 7(10): 389-398. [4] MADURASINGHE D, TUCK E O. The induced electromagnetic fields associated with submerged moving bodies in an unstratified conducting fluid[J]. IEEE Journal of Oceanic Engineering, 1994, 19(6): 193-199. [5] MADURASINGHE D. Induced electromagnetic fields associated with large ship wakes[J]. Wave Motion, 1994, 20(2): 283-292. [6] ZOU N, NEHORAI A. Detection of ship wakes using an airborne magnetic transducer[J]. IEEE Trans. on Geoscience and Remote Sensing, 2000, 38(10): 532-538. [7] 张伽伟, 熊露, 姜润翔. 浅海中水下航行器尾流感应电磁场建模与仿真[J]. 系统工程与电子技术, 2016, 38(5): 1004-1009. doi: 10.3969/j.issn.1001-506X.2016.05.06ZHANG J W, XIONG L, JIANG R X. Modeling and simulation of wake-induced electromagnetic field for underwater vehicle in shallow sea[J]. Systems Engineering and Electronics, 2016, 38(5): 1004-1009. doi: 10.3969/j.issn.1001-506X.2016.05.06 [8] 张建生, 吕青, 冀邦杰, 等. 实验室模拟尾流的光学研究[J]. 光子学报, 2001(9): 1146-1149.ZHANG J S, LÜ Q, JI B J, et al. Optical Investigtion Of Wakessimulated In Laboratory[J]. Acta Photonica Sinica, 2001(9): 1146-1149. [9] 闫林波, 张建生, 董敏, 等. 多船尾流磁异常特性分析与仿真系统设计[J]. 水下无人系统学报, 2024(5): 801-807. doi: 10.11993/j.issn.2096-3920.2023-0117YAN L B, ZHANG J S, DONG M, et al. Analysis of magnetic anomaly characteristics of multi-ship wakes and design of simulation system[J]. Journal of Unmanned Undersea Systems, 2024(5): 801-807. doi: 10.11993/j.issn.2096-3920.2023-0117 [10] 兰青, 闫林波, 任斌斌. KCS船舶尾流感应电磁场仿真分析[J]. 水下无人系统学报, 2024, 32(5): 818-822,832. doi: 10.11993/j.issn.2096-3920.2023-0101LAN Q, YAN L B, REN B B. Simulation analysis of induced electromagnetic field in KCS ship wake[J]. Journal of Unmanned Undersea Systems, 2024, 32(5): 818-822,832. doi: 10.11993/j.issn.2096-3920.2023-0101 [11] 赵爽, 王宏磊. 基于尾流空中辐射磁场的水下目标探测研究[J]. 哈尔滨工程大学学报, 2025, 47(6): 1098-1104. doi: 10.11990/jheu.202305037ZHAO S, WANG H L. Research on underwater target detection based on air radiation magnetic field of wake[J]. Journal of Harbin Engineering University, 2025, 47(6): 1098-1104. doi: 10.11990/jheu.202305037 [12] TUCK E O. Analytic aspects of slender body theory[M]. Cambridge, MA: Cambridge University Press, 1992. [13] WEHAUSEN J V, LAITONE E V. Surface waves[M]. New York: Springer-Verlag, 1960. -

下载: