• 中国科技核心期刊
  • Scopus收录期刊
  • DOAJ收录期刊
  • JST收录期刊
  • Euro Pub收录期刊

留言板

尊敬的读者、作者、审稿人, 关于本刊的投稿、审稿、编辑和出版的任何问题, 您可以本页添加留言。我们将尽快给您答复。谢谢您的支持!

姓名
邮箱
手机号码
标题
留言内容
验证码

任务空间下保证参数估计的自适应双边遥操作控制设计

匡锐 贾国涛 罗鑫 李岩田 王娴

匡锐, 贾国涛, 罗鑫, 等. 任务空间下保证参数估计的自适应双边遥操作控制设计[J]. 水下无人系统学报, 2025, 33(5): 898-904 doi: 10.11993/j.issn.2096-3920.2025-0060
引用本文: 匡锐, 贾国涛, 罗鑫, 等. 任务空间下保证参数估计的自适应双边遥操作控制设计[J]. 水下无人系统学报, 2025, 33(5): 898-904 doi: 10.11993/j.issn.2096-3920.2025-0060
KUANG Rui, JIA Guotao, LUO Xin, LI Yantian, WANG Xian. Adaptive Bilateral Teleoperation Control Design in Task Space with Guaranteed Parameter Estimation[J]. Journal of Unmanned Undersea Systems, 2025, 33(5): 898-904. doi: 10.11993/j.issn.2096-3920.2025-0060
Citation: KUANG Rui, JIA Guotao, LUO Xin, LI Yantian, WANG Xian. Adaptive Bilateral Teleoperation Control Design in Task Space with Guaranteed Parameter Estimation[J]. Journal of Unmanned Undersea Systems, 2025, 33(5): 898-904. doi: 10.11993/j.issn.2096-3920.2025-0060

任务空间下保证参数估计的自适应双边遥操作控制设计

doi: 10.11993/j.issn.2096-3920.2025-0060
基金项目: 国家自然科学基金项目资助(61922037).
详细信息
    作者简介:

    匡锐:匡 锐(1981-), 男, 博士, 工程师, 主要研究方向为水声电子信息工程

    通讯作者:

    罗 鑫(2000-), 男, 在读博士, 主要研究方向为遥操作机器人控制及柔顺机器人控制.

  • 中图分类号: TJ630; U674

Adaptive Bilateral Teleoperation Control Design in Task Space with Guaranteed Parameter Estimation

  • 摘要: 在任务空间的框架下, 自适应控制技术已广泛应用于双边遥操作系统, 旨在实现主、从端水下机器人在笛卡尔空间的位置和速度精确同步。为了提高遥操作系统的同步性, 现有研究提出了参数估计算法以补偿未知动态的影响,但传统自适应机制难以实现系统参数的精准估计, 因此无法完全补偿未知动态。针对该问题,文中提出了一种面向任务空间遥操作系统的自适应控制策略, 该策略创新性地以参数误差作为参数估计更新的驱动因子, 进而设计了新的自适应律。理论分析证明, 该策略不仅能够实现遥操作系统在任务空间中的位置与速度同步, 还能同时完成对系统参数的精确估计。仿真和理论分析表明,参数估计的收敛性能显著增强遥操作系统的主从同步性,充分证明了所提策略的有效性和优越性。

     

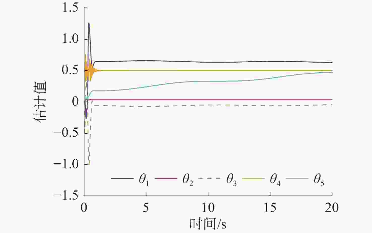
  • 图  1  主端机械臂系统参数估计值

    Figure  1.  System parameter estimation values of master manipulator

    图  2  主端机械臂系统参数估计误差

    Figure  2.  System parameter estimation errors of master manipulator

    图  3  从端机械臂系统参数估计值

    Figure  3.  System parameter estimation values of slave manipulator

    图  4  从端机械臂系统参数估计误差

    Figure  4.  System parameter estimation errors of slave manipulator

    图  5  末端执行器任务空间位置

    Figure  5.  Position of end-effector in task space

    图  6  末端执行器任务空间轨迹

    Figure  6.  Trajectory of end-effector in task space

    图  7  控制力矩变化

    Figure  7.  Variation of control torque

    图  8  主端传统自适应参数估计律估计值

    Figure  8.  Estimation values of traditional adaptive parameter estimation law for master mainpulator

    图  9  从端传统自适应参数估计律估计值

    Figure  9.  Estimation values of traditional adaptive parameter estimation law for slave mainpulator

  • [1] ANDERSON R J, SPONG M W. Bilateral control of teleoperators with time delay[J]. IEEE Transactions on Automatic Control, 1989, 34(5): 494-501. doi: 10.1109/9.24201
    [2] 杨晛, 陈传志, 华长春. 力反馈水下遥操作系统稳定性分析[J]. 控制理论与应用, 2022, 39(11): 2115-2124.
    [3] WU Z G, XU Y, LU R, et al. Event-triggered control for consensus of multiagent systems with fixed/switching topologies[J]. IEEE Transactions on Systems Man & Cybernetics Systems, 2017, 48(10): 1736-1746.
    [4] WU Z G, SHI P, SU H, et al. Local synchronization of chaotic neural networks with sampled-data and saturating actuators[J]. IEEE Transactions on Cybernetics, 2014, 44(12): 2635-2645. doi: 10.1109/TCYB.2014.2312004
    [5] YANG Y, HUA C, GUAN X. Synchronization control for bilateral teleoperation system with prescribed performance under asymmetric time delay[J]. Nonlinear Dynamics, 2015, 81: 481-493. doi: 10.1007/s11071-015-2006-4
    [6] KANG Y, LI Z, CAO X, et al. Robust control of motion/force for robotic manipulators with random time delays[J]. IEEE Transactions on Control Systems Technology, 2012, 21(5): 1708-1718.
    [7] WANG F, WANG T, YU Y, et al. Adaptive synchronization control for robotics teleoperator in the presence of input saturation, uncertainties and time delays[C]//2023 42nd Chinese Control Conference. Tianjin, China: IEEE, 2023: 2282-2287.
    [8] JING B, NA J, DUAN H, et al. A USDE-based control for bilateral teleoperation systems with time-varying delays[J]. IEEE Transactions on Automation Science and Engineering, 2024, 22: 407-417.
    [9] 张建军, 刘卫东, 高立娥, 等. 水下机械手不确定遥操作自适应双边控制[J]. 北京航空航天大学学报, 2018, 44(9): 1918-1925.
    [10] NGUYEN T V, LIU Y C. Advanced finite-time control for bilateral teleoperators with delays and uncertainties[J]. IEEE Access, 2021, 9: 141951-141960. doi: 10.1109/ACCESS.2021.3119578
    [11] NA J, HERRMANN G, REN X, et al. Robust adaptive finite-time parameter estimation and control of nonlinear systems[C]//2011 IEEE International Symposium on Intelligent Control. Denver, CO, USA: IEEE, 2011: 1014-1019.
    [12] NA J, MAHYUDDIN M N, HERRMANN G, et al. Robust adaptive finite-time parameter estimation and control for robotic systems[J]. International Journal of Robust and Nonlinear Control, 2015, 25(16): 3045-3071. doi: 10.1002/rnc.3247
    [13] JING B, NA J, GAO G , et al. Robust adaptive control for robotic systems with guaranteed parameter estimation[J]. Lecture Notes in Electrical Engineering, 2016, 399: 341-352.
    [14] ABIDI K, YILDIZ Y, KORPE B E. Explicit time-delay compensation in teleoperation: An adaptive control approach[J]. International Journal of Robust and Nonlinear Control, 2016, 26(15): 3388-3403. doi: 10.1002/rnc.3513
    [15] LIU Y C. Task-space bilateral teleoperation systems for heterogeneous robots with time-varying delays[J]. Robotica, 2015, 33(10): 2065-2082. doi: 10.1017/S0263574714001295
    [16] SHEN H, PAN Y J. Improving tracking performance of nonlinear uncertain bilateral teleoperation systems with time-varying delays and disturbances[J]. IEEE/ASME Transactions on Mechatronics, 2019, 25(3): 1171-1181.
    [17] SPONG M W, HUTCHINSON S, VIDYASAGAR M. Robot modeling and control[M]. New York: Wiley, 2006.
  • 加载中
计量
  • 文章访问数:  225
  • HTML全文浏览量:  96
  • PDF下载量:  48
  • 被引次数: 0
出版历程
  • 收稿日期:  2025-04-23
  • 修回日期:  2025-05-30
  • 录用日期:  2025-06-11
  • 网络出版日期:  2025-10-15
图(9)

目录

    /

    返回文章
    返回
    服务号
    订阅号