Human Factors Engineering Analysis for Underwater Carries
-
摘要: 目前针对水下运载器与水下推进器的研究主要集中在运载器流体外形结构、动力能源、水声通信以及声呐导航等方向, 从人因工程学角度对水下运载器航行稳定性展开的研究较为少见。因此, 文中基于人因工程学理论, 针对潜水员操控水下运载器时重心分布、使用潜水装具的不同以及疲劳度等3个人因工程因素, 以某水下运载器为试验载体, 开展理论研究与试验分析。最后总结水下运载器人因工程优化方向, 为未来水下运载器的发展与设计提供新的研究思路。Abstract: Currently, the study of diver-operated underwater vehicles (DPV) and underwater propulsion systems were mostly focus on the vehicle's structure, power sources, acoustic communication, and sonar navigation, with little consideration given to optimizing the stability of underwater vehicle navigation from a human factors engineering perspective. This paper, grounded in human factors engineering theory, examines three key human factors—center of gravity distribution, the use of different diving equipment, and fatigue levels—when divers operate these vehicles. Using a specific type of underwater vehicle as a test case, the study conducts theoretical research and experimental analysis. Finally, it summarizes the directions for optimizing human factors engineering in underwater vehicles, offering new research insights for the future development and design of these systems.
-
表 1 水下运载器及整体重心浮心位置表
Table 1. Position of Submersibler and overall center of gravity and center of buoyancy
项目 运载器 潜水员 整机 重心 浮心 重心 浮心 重心 浮心 前 (0.42$ {L_X} $, 0.15$ {L_Y} $) (0.42$ {L_X} $, 0.27$ {L_Y} $) (0.38$ {L_X} $, 0.6$ {L_Y} $) (0.38$ {L_X} $, 0.6$ {L_Y} $) (0.398$ {L_X} $, 0.395$ {L_Y} $) (0.398$ {L_X} $, 0.453$ {L_Y} $) 中 (0.42$ {L_X} $, 0.15$ {L_Y} $) (0.42$ {L_X} $, 0.27$ {L_Y} $) (0.42$ {L_X} $, 0.6$ {L_Y} $) (0.42$ {L_X} $, 0.6$ {L_Y} $) (0.42$ {L_X} $, 0.395$ {L_Y} $) (0.42$ {L_X} $, 0.453$ {L_Y} $) 中 (0.42$ {L_X} $, 0.15$ {L_Y} $) (0.42$ {L_X} $, 0.27$ {L_Y} $) (0.45$ {L_X} $, 0.6$ {L_Y} $) (0.45$ {L_X} $, 0.6$ {L_Y} $) (0.436$ {L_X} $, 0.395$ {L_Y} $) (0.436$ {L_X} $, 0.453$ {L_Y} $) 表 2 水下运载器重心分布流体阻力仿真平均值数据
Table 2. Average data of fluid resistance simulation of underwater vehicle center of gravity distribution
测试项目 重心相对靠前 重心相对居中 重心相对靠后 流体阻力平均值/N 198.58 191.08 204.02 表 3 不同潜水装具流体阻力仿真数值列表
Table 3. Simulation values of fluid resistance of different diving equipments
测试项目 开式潜水装具 半闭式潜水装具 流体阻力/N 191.08 176.96 表 4 潜水员操控水下运载器疲劳度等级统计表
Table 4. Statistics of fatigue degree of divers operating underwater vehicles
疲劳度等级 T1 T2 T3 T4 潜水员1 2 4 6 10 潜水员2 1 2 6 9 潜水员3 1 2 5 9 潜水员4 1 3 5 8 潜水员5 2 2 5 8 潜水员6 2 3 5 9 潜水员7 2 2 6 9 潜水员8 1 4 5 10 表 5 潜水员相对重心位置试验数据
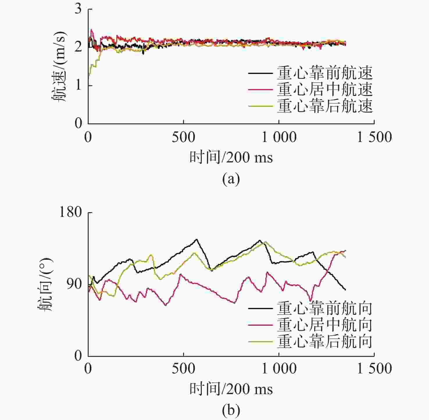
Table 5. Test data of diver's relative center of gravity position
测试项目 靠前 居中 靠后 平均航速/(m/s) 2.09 2.14 2.03 平均航向/(°) 118.24 89.90 114.45 标准值航向偏差/(°) +28.24 −0.1 +24.45 表 6 不同潜水装具操控水下运载器试验数据表
Table 6. Test data of underwater carriers operated by different diving equipment
测试项目 开式潜水装具 半闭式潜水装具 平均航速/(m/s) 1.81 2.00 平均航向/(°) 88.29 90.03 标准值航向偏差/(°) −1.71 +0.03 表 7 潜水员操控水下运载器疲劳度试验数据均值表
Table 7. Mean values of fatigue test data of divers operating underwater vehicles
测试项目 第1组疲劳度测试数据 第2组疲劳度测试数据 平均航速/(m/s) 1.99 1.77 平均航向/(°) 89.13 91.70 标准值航向偏差/(°) −0.87 +1.7 -
[1] 刘宁, 李珊, 茶文丽. 蛙人装备研究现状及发展展望[J]. 中国造船, 2018, 59(4): 212-222LIU N, LI S CHA W L. Research status and development prospects of amphibious equipment[J]. China Shipbuilding, 2018, 59(4): 212-222. [2] STIDD. Diver propulsion device(DPD)[EB/OL]. (2025)[2025-06-10]. https://stiddmil.com/diver-propulsion-device-dpd/. [3] Rotinor. DIVEJET RD2 High-performance diving scooter[EB/OL]. [2025-06-10]. https://rotinor.com/divejet/. [4] SUEX. SUEX submarine exploration[EB/OL]. [2025-06-10]. https://www.suex.it/pdf/. [5] 钟多就. 蛙人运载器导航与控制系统关键技术研究[D]. 哈尔滨: 哈尔滨工程大学, 2011. [6] 李玉阳, 李锐, 李遥. 某型蛙人运载器辐射噪声测量与特征分析[J]. 声学技术, 2023, 42(6): 726-732LI Y Y, LI R, LI Y. Measurement and characteristic analysis of the radiated noise of frogman vehicle[J]. Technical Acoustics, 2023, 42(6): 726-732. [7] 王帅. 水下运载器总体优化与自平衡控制技术研究[D]. 无锡: 中国船舶科学研究中心, 2012. [8] 王君贤. 基于Cortex-A9的蛙人运载器图像声呐显示系统设计[D]. 昆明: 云南大学, 2017. [9] 李晗生. 蛙人推进器的水下航行数值模拟及实验研究[D]. 哈尔滨: 哈尔滨工程大学, 2020. [10] 付学志, 石建飞, 江源. 蛙人水下作战系统装备发展现状及趋势[J]. 电声技术, 2019, 43(12): 11-17FU X Z, SHI J F, JIANG Y. The development of the frogman underwater combat equipment system[J]. Audio Engineering, 2019, 43(12): 11-17. [11] 周超, 钟宏伟, 陈迎亮, 等. 国外蛙人水下输送平台技术发展综述[J]. 水下无人系统学报, 2022, 30(6): 680-695Zhou Chao, Zhong Hongwei, Chen Yingliang, et al. A review of underwater transport platform technology development for diving robots in foreign countries[J]. Journal of Underwater Unmanned Systems, 2022, 30(6): 680-695. [12] 张志伟, 方泽江, 和润民, 等. 美军水下特种作战装备的发展现状及趋势分析[J]. 水下无人系统学报, 2024, 32(5): 962-970ZHANG Z W, FANG Z J, HE R M, ET al. Analysis of the current status and development trends of U. S. underwater special operations equipment[J]. Journal of Underwater Unmanned Systems, 2024, 32(5): 962-970. [13] 陈善广, 李志忠, 葛列众, 等. 人因工程研究进展及发展建议[J]. 中国科学基金, 2021, 35(2): 203-212CHEN S G, LI Z Z, GE L Z, et al. Advances and development suggestions in human factors engineering research[J]. China Science Fund, 2021, 35(2): 203-212. [14] 王锡东. 水下机器人重心测量及误差分析技术研究[D]. 哈尔滨: 哈尔滨工程大学, 2015. [15] 俞旭华, 徐佳骏, 刘文武, 等. 闭式呼吸人因工程设计思考[J]. 海军医学杂志, 2023, 44(11): 1107-1109YU X H, XU J J, LIU W W, et al. Design thinking in closed-system respiratory ergonomics[J]. Journal of Naval Medical Sciences, 2023, 44(11): 1107-1109. [16] 鲁刚, 金忠贤. 国内外潜水装具现状及发展趋势[J]. 海军医学杂志, 2006, 27(3): 260-262LU G, JIN Z X. Current status and development trends of diving equipment at home and abroad[J]. Journal of Naval Medicine, 2006, 27(3): 260-262. [17] 何金良. 人体疲劳评价标准综述[J]. 西藏医药杂志, 2013, 34(2): 29-32HE J L. A review of human fatigue evaluation criteria[J]. Xizang Medical Journal, 2013, 34(2): 29-32. [18] 王春蕾. 基于人因工程学的油壶组装作业疲劳评估与应用研究[D]. 青岛: 山东科技大学, 2020. [19] 付国举, 陈余祥, 钟朝廷, 等. 模拟480m氦氧饱和潜水不同深度下潜水员作业效率的变化[J]. 海军医学杂志, 2015, 36(4): 289-295FU G J, CHEN Y X, ZHONG C C, et al. Simulation of diver work efficiency at different depths in 480m helium-oxygen saturated diving[J]. Journal of Naval Medicine, 2015, 36(4): 289-295. [20] 黄育敏, 张明月, 陈锐勇, 等. 心率与自觉疲劳分级在氦氧饱和潜水中潜水员机体疲劳监测中的应用[J]. 第二军医大学学报, 2015, 36(9): 978-982 doi: 10.3724/SP.J.1008.2015.00978HUANG Y M, ZHANG M Y, CHEN R Y, et al. Application of heart rate and self-reported fatigue grading in monitoring diver's physical fatigue during heliox saturated diving[J]. Journal of the Second Military Medical University, 2015, 36(9): 978-982. doi: 10.3724/SP.J.1008.2015.00978 -

下载: