• 中国科技核心期刊
  • Scopus收录期刊
  • DOAJ收录期刊
  • JST收录期刊
  • Euro Pub收录期刊

留言板

尊敬的读者、作者、审稿人, 关于本刊的投稿、审稿、编辑和出版的任何问题, 您可以本页添加留言。我们将尽快给您答复。谢谢您的支持!

姓名
邮箱
手机号码
标题
留言内容
验证码

海上目标磁场多模特征提取方法

董昊 张宇 覃维 陈帅

董昊, 张宇, 覃维, 等. 海上目标磁场多模特征提取方法[J]. 水下无人系统学报, 2025, 33(5): 846-855 doi: 10.11993/j.issn.2096-3920.2025-0047
引用本文: 董昊, 张宇, 覃维, 等. 海上目标磁场多模特征提取方法[J]. 水下无人系统学报, 2025, 33(5): 846-855 doi: 10.11993/j.issn.2096-3920.2025-0047
DONG Hao, ZHANG Yu, QIN Wei, CHEN Shuai. Extraction Method for Multiple Feature Models of the Magnetic Field from Marine Targets[J]. Journal of Unmanned Undersea Systems, 2025, 33(5): 846-855. doi: 10.11993/j.issn.2096-3920.2025-0047
Citation: DONG Hao, ZHANG Yu, QIN Wei, CHEN Shuai. Extraction Method for Multiple Feature Models of the Magnetic Field from Marine Targets[J]. Journal of Unmanned Undersea Systems, 2025, 33(5): 846-855. doi: 10.11993/j.issn.2096-3920.2025-0047

海上目标磁场多模特征提取方法

doi: 10.11993/j.issn.2096-3920.2025-0047
基金项目: 国家重点研发计划项目资助(2022YFC3104002).
详细信息
    通讯作者:

    陈 帅(1997-), 男, 硕士, 工程师, 主要研究方向为水下无人装备.

  • 中图分类号: TJ610.2; U674.941

Extraction Method for Multiple Feature Models of the Magnetic Field from Marine Targets

  • 摘要: 海上目标会引起周围磁场畸变, 形成目标独特的磁场特征, 该特征广泛应用于目标探测以及舰船隐身战等方面。针对目标磁场多模特征提取问题, 文中依据磁信号产生机理, 建立相遇模式下的磁异常信号模型, 分析同一目标不同源磁场的特征差异。提出一种基于磁特征的变分模态分解(VMD)方法, 通过优化目标磁信号分解参数, 结合频率特征差异实现静磁场与轴频磁场信号的有效分离。采集海上实际干扰信号, 结合仿真目标信号对所提分解方法进行验证, 结果表明,与传统算法相比, 该方法能得到更高信噪比、更低误差的磁场信号。最后, 对舰船磁场进行实际测量, 利用实测数据进一步验证了所提分解方法对海上目标多模特征提取的有效性。

     

  • 图  1  海上目标静态磁场特征

    Figure  1.  Static magnetic field characteristics of marine targets

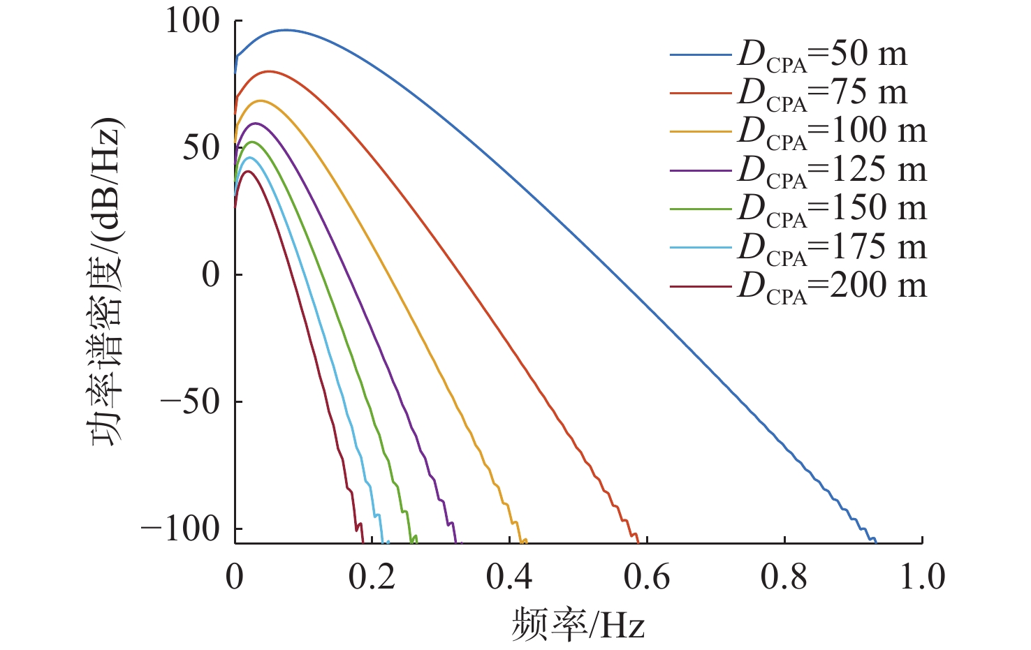
    图  2  不同CPA磁场信号功率谱对比

    Figure  2.  Comparison of power spectra of different CPA magnetic field signals

    图  3  舰船轴频磁场通过特性曲线

    Figure  3.  Characteristic curves of the ship pass through shaft-frequency magnetic field

    图  4  海上目标磁场测量仿真信号

    Figure  4.  Simulated magnetic field signal of marine target

    图  5  多模磁场信号分解结果

    Figure  5.  Decomposition of multimode magnetic field signals

    图  6  磁场特征分量信噪比、均方根误差对比

    Figure  6.  Comparison of SNR and RMSE between magnetic field characteristic components

    图  7  海上实测目标信号

    Figure  7.  Measured target signal in sea trial

    图  8  提取目标多模磁场特征

    Figure  8.  Multi-mode magnetic field characteristics of the target

    图  9  目标轴频信号频谱分析

    Figure  9.  Spectrum analysis of target axis frequency signal

  • [1] 林春生, 龚沈光. 舰船物理场[M]. 2版. 北京: 兵器工业出版社, 2007.
    [2] JIN H, GUO J, WANG H, et al. Magnetic anomaly detection and localization using orthogonal basis of magnetic tensor contraction[J]. IEEE Transactions on Geoscience and Remote Sensing, 2020, 58(8): 5944-54. doi: 10.1109/TGRS.2020.2973322
    [3] SHEN Y, WANG J Z, GAO J Q, et al. Noise suppression for vector magnetic anomaly detection by noise spatial characteristics investigation[J]. IEEE Geoscience and Remote Sensing Letters, 2022, 19: 1-4.
    [4] KIM Y S, LEE S K, KIM J M. Influence of anode location and quantity for the reduction of underwater electric fields under cathodic protection[J]. Ocean Eng, 2018, 163: 476-482. doi: 10.1016/j.oceaneng.2018.06.024
    [5] LU B J, ZHANG X B. Research on the design of a novel composite solenoid model ship simulation magnetic source based on DTW[J]. AIP Advances, 2024, 14: 015201.
    [6] 张伽伟, 喻鹏, 姜润翔, 等. 基于舰船电场的目标跟踪方法研究[J]. 兵工学报, 2020, 41(3): 559-566. doi: 10.3969/j.issn.1000-1093.2020.03.017

    ZHANG J W, YU P, JIANG R X, et al. Electric field tracking based on static potential difference[J]. Acta Armamentarii, 2020, 41(3): 559-566. doi: 10.3969/j.issn.1000-1093.2020.03.017
    [7] CHENG R, JIANG R X, GONG S G. Extraction of line spectrum of the ship shaft-rate electric field based on EMD and fourth-order cumulant[J]. Ship Science and Technology, 2016, 38(1): 94-98.
    [8] 杜德锋, 陈帅, 王磊, 等. 一种近海水域磁异常信号检测方法[J]. 水下无人系统学报, 2023, 31(2): 269-277. doi: 10.11993/j.issn.2096-3920.202203008

    DU D F, CHEN S, WANG L, et al. A detection method of magnetic anomaly signal in offshore waters[J]. Journal of Unmanned Undersea Systems, 2023, 31(2): 269-277. doi: 10.11993/j.issn.2096-3920.202203008
    [9] JIN H H, ZHUANG Z H, WANG H B. None-asphericity-error method for magnetic dipole target detection[J]. IEEE Geoscience and Remote Sensing Letters, 2018, 15(8): 1294-98. doi: 10.1109/LGRS.2018.2827568
    [10] QIN T, ZHOU L, CHEN S, et al. The novel method of magnetic anomaly recognition based on the fourth order aperiodic stochastic resonance[J]. IEEE Sensors Journal, 2022, 22(17): 17043-53. doi: 10.1109/JSEN.2022.3192668
    [11] 包中华, 于仕财, 龚沈光. 基于小波包分解和滑动功率谱的舰船轴频电场信号检测[J]. 海军航空工程学院学报, 2012, 27(3): 257-262.

    BAO Z H, YU S C, GONG S G. Detection of ship shaft-rate electric field signals based on wavelet packet decomposition and sliding PSD[J]. Journal of Naval Aeronautical and Astronautical University, 2012, 27(3): 257-262.
    [12] 喻鹏, 程锦房, 张伽伟, 等. 基于Rao检测器的舰船轴频电场滑动门限检测方法[J]. 兵工学报, 2021, 42(4): 827-834. doi: 10.3969/j.issn.1000-1093.2021.04.016

    YU P, CHENG J F, ZHANG J W, et al. Ship shaft-rate electric field sliding threshold detection method based on Rao detector[J]. Acta Armamentarii, 2021, 42(4): 827-834. doi: 10.3969/j.issn.1000-1093.2021.04.016
    [13] 李松, 石敏, 栾经德, 等. 舰船轴频电场信号特征提取与检测方法[J]. 兵工学报, 2015, 36(增刊2): 220-224.

    LI S, SHI M, LUAN J D, et al. The feature extraction and detection for shaft-rate electric field of a ship[J]. Acta Armamentarii, 2015, 36(S2): 220-224.
    [14] 程锐, 陈聪, 张伽伟. 基于EEMD和改进功率谱熵的船舶轴频电场检测[J]. 华中科技大学学报(自然科学版), 2017, 45(5): 11-16.

    CHENG R, CHEN C, ZHANG J W. Detection of ship shaft-rate electric field based on EEMD and modified power spectral entropy[J]. Journal of Huazhong University of Science and Technology(Nature Science Edition), 2017, 45(5): 11-16.
    [15] WANG J Z, JIANG Z K, GAO J Q, et al. Frequency characteristics analysis for magnetic anomaly detection[J]. IEEE Geoscience and Remote Sensing Letters, 2021, 19: 1-5.
    [16] 刘芙妍, 颜冰. 磁偶极子阵列模型的适用性研究与优化分析[J]. 物理学报, 2022, 71(12): 1-13.

    LIU F Y, YAN B. Applicability and optimization analysis of magnetic dipole array model[J]. Acta Physica Sinica, 2022, 71(12): 1-13.
    [17] WU Z Q, ZHU X H, LI B. Modeling and measurements of alternating magnetic signatures of ships[J]. Sensor & Transducers, 2015, 186(3): 161-167.
    [18] ZOLOTAREVSKII Y, BULYGIN F, PONOMAREV A. Methods of measuring the low-frequency electric and magnetic fields of ships[J]. Measurement Techniques, 2005, 48(11): 1140-44. doi: 10.1007/s11018-006-0035-6
    [19] 熊露, 姜润翔, 龚沈光. 浅海中船舶轴频电场建模方法[J]. 国防科技大学学报, 2014, 36(1): 98-103. doi: 10.11887/j.cn.201401018

    XIONG L, JIANG R X, GONG S G. Ship modeling method of shaft-ELFE in shallow sea[J]. Journal of National University of Defense Technology, 2014, 36(1): 98-103. doi: 10.11887/j.cn.201401018
    [20] 陈齐乐, 钱鹏飞, 孔志杰, 等. 基于变分信号分解的脉冲多普勒雷达抗扫频式干扰方法[J]. 兵工学报, 2024, 45(6): 2076-84.

    CHEN Q L, QIAN P F, KONG Z J, et al. Anti-sweep-jamming method for PD radar based on variational signal decomposition[J]. Acta Armamentarii, 2024, 45(6): 2076-84.
    [21] DRAGOMIRETSKIY K, ZOSSO D. Variational mode decomposition[J]. IEEE Transactions on Signal Processing, 2014, 62(3): 531-544. doi: 10.1109/TSP.2013.2288675
    [22] ZHANG X L, CAO L Y, CHEN Y, et al. Microseismic signal denoisingy ombining variational mode decomposition with permutation entropy[J]. Applied Geophysics, 2022, 19(1): 65-80. doi: 10.1007/s11770-022-0926-6
    [23] 李华, 王天杨, 张飞斌, 等. KurVMDPgram: 一种用于旋转机械故障诊断的信号分解算法[J]. 机械工程学报, 2025, 61(4): 11-23.

    LI H, WANG T Y, ZHANG F B, et al. KurVMDPgram: A signal decomposition algorithm for fault diagnosis of rotating machinery[J]. Journal of Mechanical Engineering, 2025, 61(4): 11-23.
    [24] 弭晴, 马永涛, 黄祉同. 基于多序列 WOA-VMD 算法的超宽带雷达心率检测[J]. 传感技术学报, 2024, 37(7): 1144-53. doi: 10.3969/j.issn.1004-1699.2024.07.006

    MI Q, MA Y T, HUANG Z T. Heart rate detection based on multi-sequence WOA-VMD algorithm using UWB radar[J]. Chinese Journal of Sensors and Actuators, 2024, 37(7): 1144-53. doi: 10.3969/j.issn.1004-1699.2024.07.006
  • 加载中
计量
  • 文章访问数:  324
  • HTML全文浏览量:  146
  • PDF下载量:  83
  • 被引次数: 0
出版历程
  • 收稿日期:  2025-03-20
  • 修回日期:  2025-06-10
  • 录用日期:  2025-06-16
  • 网络出版日期:  2025-09-26
图(9)

目录

    /

    返回文章
    返回
    服务号
    订阅号