Current Issue

2026, Volume 34,  Issue 1

Display Method:
Numerical Analysis of Effect of Stern Flap on Hydrodynamic Performance of Amphibious Vehicles
ZHANG Guoqing, FENG Yikun, JIN Haobin, GE Qiqian, XU Xiaojun
2026, 34(1): 1-8. doi: 10.11993/j.issn.2096-3920.2025-0126
Abstract:
To explore the effect mechanism of the stern flap on the hydrodynamic performance of amphibious vehicles, still water towing tests and numerical simulation methods were combined to comparatively analyze the motion parameters, free surface waveforms and pressure distribution of the vehicle at different speeds before and after the installation of the stern flap based on STAR-CCM+. The results show that the stern flap significantly alters the hydrodynamic characteristics of the amphibious vehicle, with a significant speed dependence in the effect. In terms of motion parameters, the stern flap gets the resistance lower and then higher, with a resistance reduction rate of 21.6% at Fr=0.738. The regulation effect on sailing attitude is prominent, with a peak difference in pitch angle reaching 63.3% at the same time, effectively suppressing the heave motion within the speed range. In terms of flow field characteristics, by changing the pitch angle and heave amplitude, the stern flap significantly reconstructs the waveform of the flow field around the amphibious vehicle and the pressure distribution characteristics of vehicle. At a low speed, the flow field separation of the stern can be improved. At a high speed, the risk of cavitation caused by over plough-in should be prevented. The study provides a theoretical basis for the hydrodynamic optimization design of amphibious vehicles.
Research Progress on AI-Driven Decision and Control of Maritime Unmanned Systems
DENG Yingjie, XU Yifei, YAN Jing, ZHAO Dingxuan, LI Mengxia
2026, 34(1): 9-28. doi: 10.11993/j.issn.2096-3920.2025-0095
Abstract:
Maritime unmanned systems refer to intelligent unmanned platforms on the water surface, underwater, and in the air with autonomous operation capabilities. Adopting artificial intelligence(AI) technology to improve the decision-making and control level of maritime unmanned systems is an inevitable development trend in the future. Although AI technology has made considerable progress, its application in maritime unmanned systems is still restricted by many factors such as environmental interference and system characteristics. First, this paper elaborates on the basic framework of decision-making and control for maritime unmanned systems and analyzes the inherent defects of traditional methods based on mathematical modeling and fixed rules in unsteady marine environments, multi-constrained tasks, and heterogeneous cluster collaboration. Second, it reviews the development status of AI-driven maritime unmanned systems in various countries, and combs through the research progress and existing problems in key AI technologies including environmental perception and localization, path planning and guidance, motion control, and multi-system collaboration. Furthermore, it reveals the current challenges in research, such as strong data dependence, insufficient model interpretability, and difficulty in learning under unsteady environments. Finally, targeted solutions and future development paths are proposed from aspects of dataset construction, algorithm optimization, interpretability enhancement, human-machine collaboration, and the integration of large models with artificial general intelligence(AGI), providing theoretical references and technical support for the in-depth integration of AI technology and maritime unmanned systems.
High-Sensitivity Detection Method for Weak Signals of Vessel Shaft-Rate Electric Field
YU Pingyang, WANG Honglei, YANG Yixin
2026, 34(1): 29-36. doi: 10.11993/j.issn.2096-3920.2025-0079
Abstract:
There are weak signals in shaft-rate electric fields from vessels, and they are easily masked by noise. To address these issues, this paper proposed a comprehensive high-gain weak signal detection method guided by the priority detection and selective enhancement principle. First, complete ensemble empirical mode decomposition with adaptive noise(CEEMDAN) was combined with narrowband power spectrum energy peak entropy ratio(EPER) features. Then, sliding window and dynamic threshold techniques were used to detect the target signal. After successful detection, the proposed method triggered a tri-stable stochastic resonance and variable step-size least mean p-norm(VSS-LMP) enhancement mechanism to further enhance the spectral characteristics of the target signal, thereby enabling the extraction of the target signal’s characteristic frequency. Simulation results show that the proposed method achieves a detection accuracy rate exceeding 85% under a signal-to-noise ratio of −12 dB, with a false detection rate below 30%, and it can accurately extract the target signal’s characteristic frequency, providing a feasible technical approach for real-time monitoring of weak electric field signals from vessels.
Unmanned Aerial Vehicle Aeromagnetic Positioning Method for Nearshore Submarine Cables Based on Power Frequency Magnetic Characteristics
SUN Yunkun, LI You, CAO Xiangdong, CHEN Mei, ZHANG Lei, LI Mingyue, ZHAO Jie, HAN Qi
2026, 34(1): 37-46. doi: 10.11993/j.issn.2096-3920.2025-0083
Abstract:
Aiming at the technical bottleneck of high-precision detection and positioning of the “last mile” of nearshore submarine cables, this study proposed a comprehensive unmanned aerial vehicle(UAV) aeromagnetic detection method integrating the analysis of power frequency magnetic field characteristics. Firstly, a forward model of the power frequency magnetic field of submarine cables was established, and the propagation and attenuation law of the power frequency magnetic characteristic signal of the cables was revealed through numerical simulation. Secondly, an innovative frequency-domain signal extraction algorithm based on power frequency magnetic characteristics was constructed, effectively improving the recognition accuracy of weak magnetic signals in the background of strong environmental noise. Then, a reverse analytical positioning method combined with the geomagnetic direction was proposed to achieve the meter-level spatial inversion of the direction of submarine cables. The experiment adopted the self-developed ultra-low-altitude(flight altitude of 1 meter) rotorcraft UAV magnetic detection system to conduct actual measurement and verification in the coastal waters of Wenzhou City. The results show that the system effectively conducts aerial magnetic detection operations of power frequency magnetic characteristics under the complex terrain conditions of the intertidal zone. Through comparative analysis, it is found that the power frequency characteristic positioning method has significant advantages over the conventional magnetic anomaly positioning method in the nearshore shallow water area. Its positioning error does not exceed 1.8 meters, and it can accurately track the cable burial path. This research provides a new technical paradigm for the inspection and positioning of submarine cable projects.
Ship-Radiated Noise Recognition Based on Dual Low-Rank Adaptation Training
MA Zhixun, TANG Ning, LI Xuan, HAO Chengpeng
2026, 34(1): 47-56. doi: 10.11993/j.issn.2096-3920.2025-0114
Abstract:
To address the limited generalization capability of deep learning models in ship-radiated noise recognition caused by data shortage and domain shift, this paper proposed a dual low-rank adaptation transfer learning framework of weights and features. This framework conducted low-rank optimization simultaneously from two dimensions: model weights and feature representations. In the weight space, the pretrained weights were frozen, and a lightweight weight low-rank adaptation (WLoRA) module was introduced to construct learnable low-rank weight parameters, completing the weight fine-tuning with fewer parameters and thereby reducing the risk of overfitting. In the feature space, based on the inherent low-rank structure of the Mel spectrogram of ship-radiated noise, the feature was compressed and reconstructed through the low-rank feature adjustment (FLoRA) module, thereby explicitly constraining the model to learn low-rank features. This framework fully took into account the inherent low-rank structure of the Mel spectrogram, deeply explored the potential of pretrained models, and effectively improved the performance of transfer learning. Experimental results on the public datasets ShipsEar and Deepship show that compared with directly fine-tuning the pretrained model, the proposed method can effectively enhance the performance of transfer learning in the classification model of ship-radiated noise. Further ablation experiments have verified the effectiveness of the two low-rank modules.
Phase Compensation Self-interference Cancellation Method for Full-duplex Single-Carrier Underwater Acoustic Communication
WU Songwen, LU Yinheng, ZHOU Feng, QING Xin, LI Yanlong, ZHAO Zichen
2026, 34(1): 57-64. doi: 10.11993/j.issn.2096-3920.2025-0157
Abstract:
Aiming at the problem that the self-interference cancellation performance is degraded due to the phase mismatch between the transmitting and receiving samples in the in-band full-duplex underwater acoustic communication, this paper proposed a method to improve the self-interference cancellation through two-stage phase compensation in single-carrier communication. The traditional method assumes that the phase of the reference signal is consistent with the phase of the received signal and directly cancels under this premise. In contrast, this paper introduced phase compensation into the construction process of the reference signal and took the minimum residual energy as the optimization goal. This method first estimated the initial phase based on the correlation between the reference signal and the received signal and further searched in the field of this result to find the optimal compensation phase and achieve compensation. It combined the adaptive filtering algorithm to improve the self-interference cancellation ability. The effectiveness of the proposed method was verified by the simulation of single frequency signal and a quadrature phase shift keying signal, the pool experiments, and the sea experiments. The results show that after phase compensation, the self-interference cancellation performance of the system is improved; the self-interference cancellation performance in the pool experiment is improved by 5.289 dB, and the self-interference cancellation performance in the sea experiment is improved by 1.986 dB. After compensation, the main side lobe ratio of the correlation peak of the far-end signal demodulation is optimized. The phase compensation method proposed in this paper can effectively improve the self-interference cancellation performance and filter’s convergence speed, thereby improving the accuracy of system demodulation and providing key technical support for the practical application of full-duplex underwater acoustic communication.
High-Resolution Imaging Method of Deconvolution MIMO Sonar Based on Acoustic Homing Platform
CUI Zhiyuan, YANG Yunchuan, SHI Lei, YAO Yuan, LIU Gang
2026, 34(1): 65-75. doi: 10.11993/j.issn.2096-3920.2025-0119
Abstract:
To address the demand for precise imaging of the desired guidance part of a target by an undersea vehicle, this paper attempted to apply multiple-input multiple-output(MIMO) sonar imaging to the acoustic homing platform of an underwater vehicle for the first time. The paper aimed to improve the resolution of active imaging of the acoustic homing platform under limited aperture conditions and obtain clear images to guide the underwater vehicle in determining the desired guidance part of the target. The MIMO sonar transceiver array configuration was discussed in combination with the acoustic homing platform. Simulation results demonstrate that the MIMO sonar can be equivalent to a virtual single-input multiple-output(SIMO) sonar with a larger aperture, possessing both higher angular resolution than traditional SIMO sonar and the advantage of compact size. Deconvolution processing can effectively improve the angular and range resolutions of the MIMO sonar while significantly suppressing sidelobes in both angular and range dimensions. In this paper, the transceiver array and Costas-coded transmission signals are designed based on the acoustic homing platform to process target scattering echoes. The feasibility of the high-resolution imaging method for deconvolution MIMO sonar on the acoustic homing platform is validated. This paper provides a new technical reference and implementation path for high-resolution imaging of MIMO sonar.
Marine Sound Separation Algorithm Based on Time-Frequency Interleaved Attention and Integrated Filtering Module
WANG Yudi, YANG Mingzhong, LIU Lixin
2026, 34(1): 76-84. doi: 10.11993/j.issn.2096-3920.2025-0127
Abstract:
To address the problems of refined perception and discrimination of sound features caused by complex marine soundscapes and the variable characteristics of underwater target signals, this paper proposed a marine sound separation algorithm based on time-frequency interleaved attention and an integrated filtering module(IFM). The algorithm adopted a frequency band division strategy and used an encoder to convert the mixed audio into a time-frequency spectrogram. A multi-scale attention mechanism was utilized to cross-extract time-frequency gains. The IFM efficiently fused the features extracted from the multi-scale convolutional spatial filtering and the self-attention feature dependency pathway with the original features. The fused features were input into a decoder to reconstruct high-quality pure target audio, enhancing the details of the target signals while effectively filtering out background noise and interference. Experimental results on typical marine sound datasets show that the proposed algorithm significantly improves target audio separation performance. In audio separation experiments involving humpback whales mixed with passenger ships and killer whales mixed with passenger ships, the source-to-distortion ratio improvement(SDRi) reaches 8.56 dB and 10.74 dB, respectively, and all performance indicators are superior to those of existing baseline models.
Space-Time Frequency Feature Fusion Recognition Method for Underwater Targets Based on Meta-Learning
LIU Xiaochun, YANG Yunchuan, HU Youfeng, WANG Chenyu, LI Yongsheng
2026, 34(1): 85-93. doi: 10.11993/j.issn.2096-3920.2025-0067
Abstract:
To improve poor relative bearing adaptability and weak resistance to new types of interference in active sonar target recognition, this paper elaborated on the physical mechanism of active sonar target information perception from wave equation theory. Based on generalized multiple signal classification (MUSIC) spatial spectrum estimation, a novel method was proposed for acquiring the pseudo three-dimensional spatial feature of underwater targets by incorporating distance information, thereby effectively enhancing the adaptability of spatial features across different relative bearings. Additionally, research was conducted on methods to enhance pseudo Wigner-Ville distribution (PWVD) time frequency features and Doppler frequency shift distribution feature extraction of moving targets based on the two-dimensional correlation of time frequency. By leveraging the complementary advantages of both algorithms, the relative bearing adaptability for target recognition was further improved. To address the challenge of scarce and imbalanced underwater target sample distribution, the concept of meta-learning was integrated to construct a data-level fusion target recognition network that incorporated spatial, time-frequency, and Doppler domain features. The network was trained and tested using simulation and experimental data. The results demonstrate that the space-time frequency fusion features significantly improve the relative bearing adaptability and anti-interference capability for target recognition, providing a novel approach for the development of intelligent underwater target recognition technology.
CFD Simulation Study on Propulsion Performance of Air-Water Dual-Mode Cross-Medium Robot
SUN Yufeng, ZHOU Jing, ZHAO Liming, LIU Meiqin
2026, 34(1): 94-108. doi: 10.11993/j.issn.2096-3920.2025-0118
Abstract:
To meet the demand for cross-medium operations in complex marine environments, this paper conducted a computational fluid dynamics(CFD) simulation study on the propulsion system of a cross-medium robot with air-water dual-mode motion capability. Due to the significant differences in physical properties such as density and viscosity between air and water, traditional single-environment propellers fail to balance high propulsion efficiency in both media. To address this, this paper established a three-dimensional transient CFD model covering typical aerial and underwater conditions. The sliding mesh and volume of fluid methods were adopted to perform a comparative simulation analysis of single-propeller and multi-propeller coupled systems, revealing the differences and patterns of the cross-medium propulsion system in terms of thrust coefficient, propulsion efficiency, and wake interference. The results indicate that at a speed of 3 kn, the underwater propulsion system achieves an efficiency of up to 48.48%, significantly higher than that of the aerial propulsion system(7.43%). Although multi-propeller operation induces wake coupling interference, an optimized layout can improve the overall efficiency. This paper constructed a unified CFD analysis framework for air-water propulsion and proposed a quantitative evaluation method for cross-medium propulsion performance, providing theoretical support for the layout optimization and multimodal coordination design of cross-medium robots.
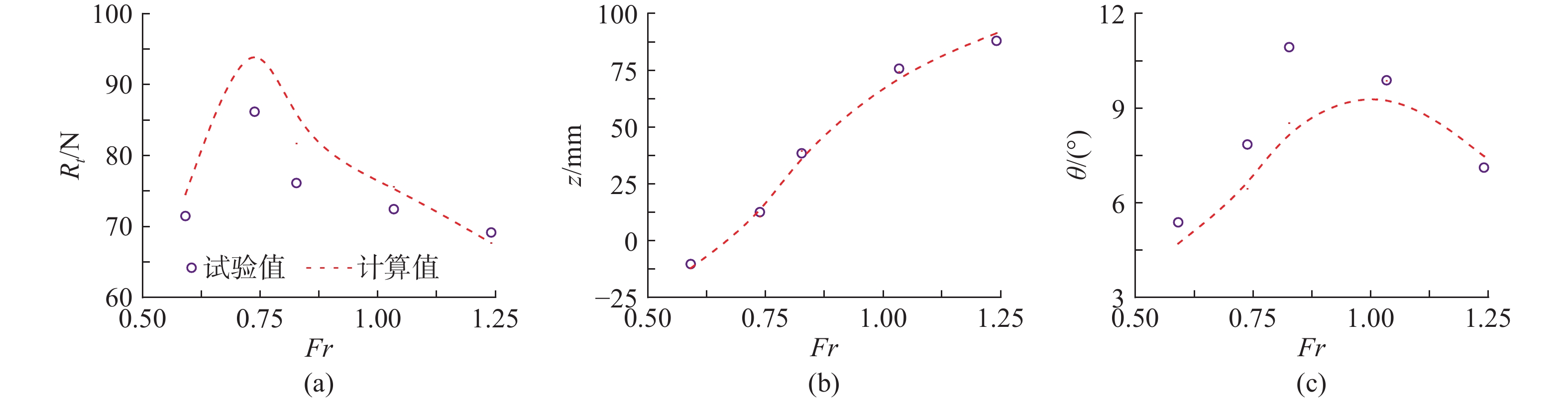
Rapid Prediction and Numerical Verification of High-Speed Water-Entry Impact Response of Spherical-Nosed Cones
LIU Ping, HUANG Jiahao, WANG Xinggang, ZHAO Junqi, ZENG Mengcheng, YAN Zhi, XIONG Yongliang
2026, 34(1): 109-119. doi: 10.11993/j.issn.2096-3920.2025-0116
Abstract:
To address the complex physical phenomena involved in the cross-media water entry of spherical-nosed cones, this study developed a rapid prediction model for water-entry impact overloads based on water-entry dynamics and exact geometric characterization. Based on the water-entry dynamics of the moving body, the proposed model accounted for typical entry stages by incorporating the influence of added mass to obtain ideal fluid forces, while viscous fluid forces were obtained through force analysis of cross-sectional slices of the wetted body. By integrating the ideal and viscous fluid forces of each slice along the axial direction, multi-stage dynamic equations governing the water-entry process of the spherical-nosed cone were finally obtained. To validate the proposed model, numerical experiments based on computational fluid dynamics(CFD) were conducted using a multiphase flow model, the k-ε turbulence model, and the overset mesh technique. The high-speed cross-media water-entry process of spherical-nosed cones with cone angles of 5°~15° impacting quiescent water from air at angles of 50°~90°(vertical) was numerically simulated, and the high-speed water-entry characteristics of the moving body were revealed. The results demonstrate that the proposed model accurately predicts water-entry impact loads and the occurrence time of peak loads, while the computational efficiency is improved by two orders of magnitude compared with conventional CFD methods, making it suitable for rapid assessment in engineering applications.
Influence of Launch Depth on Ejection and Ignition Process ofUnderwater Vehicles
LIU Shang, HUANG Xi, WANG Lihang, LIU Pingan, CHU Yue
2026, 34(1): 120-128. doi: 10.11993/j.issn.2096-3920.2025-0129
Abstract:
Underwater launch technology is a key development direction in the field of underwater vehicles. The ejection and ignition process is a coupled process involving two stages: ejection of the vehicle from the launch tube and ignition near the tube muzzle. During this process, the coupling effect between high-temperature and high-pressure gas flow and the water environment forms a complex multiphase flow field. Simultaneously, severe impacts occur between the vehicle and the launch tube wall, leading to dynamic load variations. Investigating the flow evolution mechanism of this process is significant for improving the theoretical system of underwater launch. To investigate the ejection and ignition characteristics of underwater vehicles in deep-water environments, this paper employed Fluent software combined with the overset grid technique and user-defined functions to systematically study the influence of launch depth on this process. The results indicate that launch depth significantly affects the evolution of the gas jet and thrust characteristics during the ejection and ignition process: With increasing launch depth, the radial expansion of the gas bubble at the tube exit is suppressed; the entrainment effect at the tube muzzle after the vehicle leaves the tube is markedly enhanced; the gas jet is more prone to breakup, and nozzle vortices lead to engine thrust loss. This paper can provide theoretical support for the optimal design of underwater vehicle launch systems.
Impact of Shock Waves on Safe Exit of Vehicle Nose Cap During Thermal Launch Process
LIU Gangqi, YUAN Xin, GAO Shan, CUI Canli, YE Jianhong
2026, 34(1): 129-135. doi: 10.11993/j.issn.2096-3920.2024-0156
Abstract:
In response to the impact of shock waves generated under the action of the gas flow field on the safe exit of the rocket-projected vehicle nose cap during the thermal launch process of a concentric canister, a numerical simulation of the ignition and launch process was carried out using computational fluid dynamics (CFD) software. The propagation laws of shock waves and gas generated by the solid rocket motor in the concentric canister were analyzed in detail, and the force variation curve of the nose cap under the action of shock waves was obtained. The force mechanism of the nose cap under the action of shock waves was revealed. Combined with test data, the force process of the nose cap under the action of shock waves was further verified, and its force characteristic of “first compression, then pulling, and then re-compression” was clarified. The research results clearly illustrate the force impact mechanism of shock waves on the nose cap during the thermal launch process of concentric canister and can provide a theoretical basis and reference for the safety design of the vehicle nose cap’s exit.
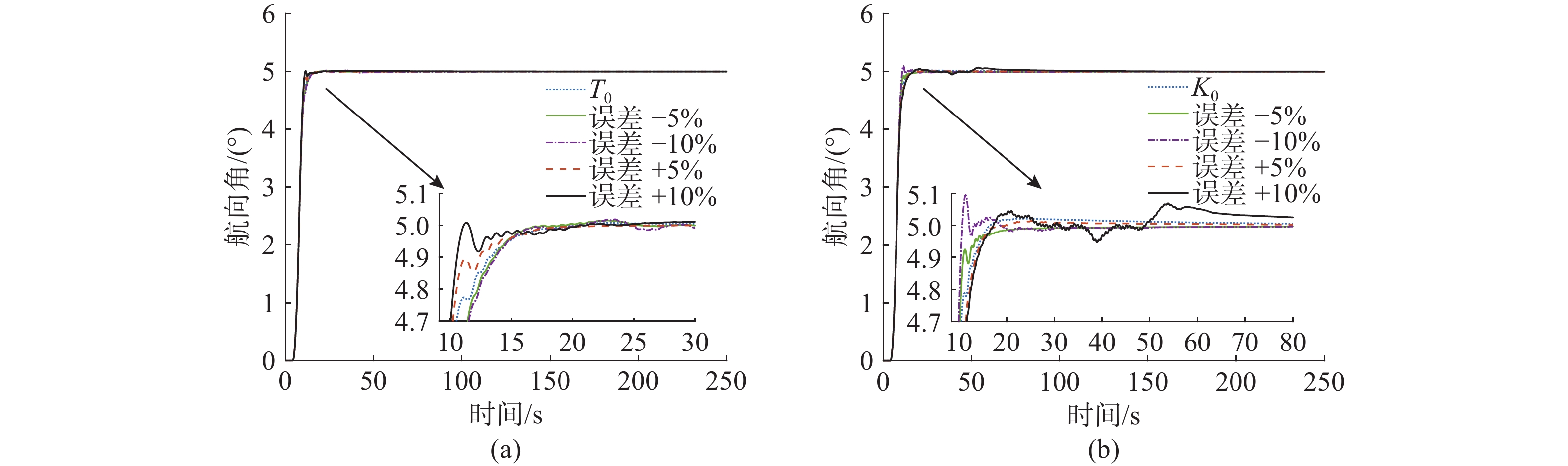
Optimized Smith Predictor Combined with HCOPSO Algorithm for Unman Surface Vessel Heading Control
LI Zhiqi, LIU Lanjun, CHEN Jialin
2026, 34(1): 136-147. doi: 10.11993/j.issn.2096-3920.2025-0104
Abstract:
In the heading control of a high-speed unmanned surface vessel(USV), there are time delay elements in both the forward channel and the feedback loop. Moreover, it has a large delay/dynamic time ratio, significantly reducing the performance of heading control. Conventional Smith predictors can only effectively compensate for time delays in the forward channel and are ineffective against time delays in the feedback loop. In this paper, the time delay in the feedback loop was incorporated into the design of the Smith predictor, constructing a predictive model that incorporated time delays in both directions. This approach allowed for simultaneous compensation of time delays in both the forward channel and feedback loop, thereby significantly reducing the erosion of the system’s phase margin caused by bidirectional time delays. Furthermore, a hybrid mean center opposition-based learning particle swarm optimization(HCOPSO) algorithm was introduced for the parameter tuning of the proportional-integral-derivative(PID) controller. This algorithm employed a mean center opposition-based reverse learning strategy in the early stages of iteration to expand the search range and utilized an adaptive compression factor in the later stages for fine-tuning. Therefore, it combined the advantages of both global exploration and local exploitation, effectively solving the problem of local optimal solutions in the optimization process. Simulation tests were conducted based on the USV heading model. The results demonstrate that the improved Smith predictor-based PID controller shows significant improvements in system overshoot and settling time compared to conventional PID controllers and traditional Smith predictor-based PID controllers, with a steady-state error of less than 0.1°. When the compensation model of the improved Smith predictor contains parameter deviations, the system can still maintain good dynamic stability and steady-state accuracy. Meanwhile, for the Smith predictor-based PID controller, the navigation control performance of the HCOPSO algorithm was further compared and analyzed with that of the particle swarm optimization(PSO) algorithm, genetic algorithm(GA), and whale optimization algorithm(WOA). The results show that the integral of time-weighted absolute error(ITAE) index obtained by the HCOPSO algorithm is 55.38%, 22.47%, and 24.63% lower than that of the PSO algorithm, GA, and WOA, and it demonstrates strong disturbance suppression ability and heading stability ability, verifying its effectiveness.
Multi-Objective Collaborative Path Planning for USV-AUV Based on USBL
MI Yanlong, YANG Huizhen, GUO Tianyang
2026, 34(1): 148-156, 175. doi: 10.11993/j.issn.2096-3920.2025-0113
Abstract:
To address the problems of high susceptibility to interference, limited effective range, and insufficient collaborative stability in underwater communication within the context of unmanned surface vehicle (USV)-assisted multi-autonomous undersea vehicle(AUV) operations, this paper proposed a multi-objective collaborative path planning method for USV-AUV based on an ultra-short baseline(USBL) positioning system. By analyzing the working principle of USBL and the propagation characteristics of marine underwater acoustic signals, this paper constructed a stable communication range for collaborative operations by integrating the effective zone of USBL signals, the acoustic ray propagation boundary defined by ray acoustics theory, and the maximum operating distance calculated by the sonar equation. With the prerequisite of ensuring that the USV and AUVs are within the effective range of underwater acoustic communication, the paper established a multi-objective optimization model for USV-AUV collaborative path planning to further optimize path length, path smoothness, and USV-AUV communication performance. An improved collaborative optimization strategy that integrates the genetic algorithm(GA), particle swarm optimization(PSO) and teaching-learning-based optimization(TLBO) algorithm was employed for solution. Simulation experiments investigate the influence of parameters, such as communication distance and AUV operating depth, on the USV planned path. The results indicate that the proposed method can effectively enhance the stability and efficiency of collaborative operations between the USV and AUVs while satisfying USBL communication constraints, providing reliable support for multiple AUVs in executing complex marine missions.
A Fault-Tolerant Navigation Algorithm for AUVs Based on Collaborative Fault Detection and Robust Estimation
XIAO Ruibin, MA Tiefeng, HU Youfeng
2026, 34(1): 157-166. doi: 10.11993/j.issn.2096-3920.2025-0156
Abstract:
In the integrated navigation system of autonomous undersea vehicles(AUVs), traditional adaptive filtering algorithms struggle to achieve effective fault tolerance against slowly varying faults of the Doppler velocity log(DVL) due to the conflict between noise estimation and fault detection mechanisms. To address this issue, this paper proposed a collaborative fault-tolerant navigation method fusing a long short-term memory(LSTM) network-based fault detection with a variational Bayesian adaptive Kalman filter(VBAKF) and IGG-III robust filtering. The proposed method utilized the LSTM network to effectively identify the early characteristics of slowly varying faults. Upon fault confirmation, the filter switched from the VBAKF to the IGG-III robust filtering mode and dynamically constructed equivalent weight matrices to suppress the influence of faulty measurements. After the fault ended, the VBAKF was restored to maintain optimal estimation. Experimental results demonstrate that in the event of DVL slowly varying faults, the proposed method achieves higher navigation accuracy than several mainstream filtering algorithms, effectively suppresses state estimation distortion, and enhances the positioning precision and robustness of the integrated navigation system of AUVs in uncertain underwater environments.
Overall Design and Motion Control of an ROV Based on Pixhawk and Open-Source Architecture
LI Hanghang, ZHU Faxin, LIAO Yuming, DONG Liangxiong, WANG Shenger
2026, 34(1): 167-174. doi: 10.11993/j.issn.2096-3920.2025-0136
Abstract:
To optimize the development cycle and project cost of undersea vehicles, this paper designed and implemented a remotely operated vehicle(ROV) system based on an open-source hardware and software platform. First, this paper utilized Fusion360 software for the three-dimensional(3D) modeling of the ROV and adopted 3D printing technology to achieve rapid prototyping. Second, a combined hierarchical control architecture of Pixhawk and Raspberry Pi(RPi) was designed and constructed. The upper layer used RPi as the decision-making unit to run robot operating system(ROS) nodes, process visual data, execute task planning, and conduct high-speed communication with the ground station. The lower layer used Pixhawk as the real-time motion control unit to calculate navigation attitude and drive thrusters. Data interaction between the upper and lower layers, as well as between the system and the remote ground station, was realized through the MAVLink communication protocol. Test results in a static water environment show that the ROV can stably receive and respond to control commands sent by the ground station, with a depth-keeping control accuracy within ±0.3 m and a heading control deviation of less than ±3°. The research indicates that the development path based on the open-source Pixhawk flight control platform and low-cost manufacturing technology is feasible. This scheme shortens the development cycle and reduces the cost of the undersea vehicle, and its hardware and software architecture is scalable, providing reusable technical references and practical experience for the rapid development of small and medium-sized underwater detection equipment.
Overall Matching Optimization Design of Supporting Parameters of Power Propulsion System for Undersea Vehicles
ZHOU Jingkun, WANG Zhong, SUN Cen, ZHOU Jingjun, WANG Qian, ZHANG Zhimin, GENG Xiaoming
2026, 34(1): 175-181. doi: 10.11993/j.issn.2096-3920.2025-0137
Abstract:
To verify the effect of the overall matching optimization design of supporting parameters of the power propulsion system, this study took a typical undersea vehicle as an example. By establishing its finite element simplified model and employed the multi-objective genetic algorithm (MOGA), the length ratio of the coupling to the tail shaft, the support position of the tail shaft, and its support stiffness were selected as parameter variables. The vibration levels at four key positions on the shell were used as the objective functions to carry out separate optimization of parameter variables and overall matching optimization, respectively. The results show that the vibration response of the system can be optimized by adjusting the length ratio of the coupling to the tail shaft, changing the support position and support stiffness of the tail shaft, etc. Among them, the vibration reduction effect after optimizing the length ratio of the coupling to the tail shaft can reach 5.2 dB, while the overall matching optimization is more significant than the separate optimization of each parameter, with the vibration level drop reaching 9.2 dB. The conclusion is drawn that in the process of optimizing the supporting parameters of the power propulsion system, each parameter can be matched and optimized through an MOGA to minimize the overall vibration response level of the system. The overall matching optimization method can provide a new optimization idea for the vibration reduction optimization design of the power propulsion system of undersea vehicles.
A Double-Layer Autonomous Decision-Making Method Based on Expert Knowledge and Deep Reinforcement Learning
XIAO Wenwen, CAI Qianya, MAO Lifu, LIN Yuan, ZHAO Yuan, WANG Mianjin
2026, 34(1): 182-189. doi: 10.11993/j.issn.2096-3920.2025-0098
Abstract:
The underwater environment is complex and volatile, where underwater unmanned systems face the dual challenges of incomplete perceptual information and environmental uncertainty. Traditional decision-making methods highly rely on complete perceptual data and map information, resulting in insufficient adaptability in dynamically complex scenarios and difficulty in efficiently completing tasks such as autonomous navigation and obstacle avoidance. To address the above challenges, this paper proposed a double-layer autonomous decision-making method based on expert knowledge and deep reinforcement learning, aiming to enhance the adaptive capacity of unmanned systems in underwater intelligent decision-making and significantly improve the efficiency of task execution. Specifically, a double-layer autonomous decision-making architecture consisting of seven functional modules was first designed to effectively ensure navigation safety by strengthening system robustness. Secondly, an autonomous decision-making strategy generation method integrating expert knowledge and deep reinforcement learning was proposed to improve the adaptability of underwater unmanned systems in unknown scenarios. Finally, a multi-module design method was proposed to achieve the decoupling of each functional module, effectively improving the research and development efficiency of unmanned undersea systems. By taking unmanned undersea systems as the research object, experiments on autonomous navigation and obstacle avoidance were conducted on the Unity virtual simulation platform. The results show that the success rate and the convergence speed of the average reward value of the proposed method are superior to those of benchmark methods such as proximal policy optimization and soft actor-critic, providing solid theoretical support for autonomous decision-making in real-world scenarios.
Optimization of Cooperative Countermeasure Strategy for Underwater Acoustic Deception Devices Based on Adaptive Mutation PSO
XIA Zhijun, REN Yunchong, HAN Yunfeng, JIANG Lei
2026, 34(1): 190-197. doi: 10.11993/j.issn.2096-3920.2025-0081
Abstract:
To address the insufficient research on the cooperative combat system of multiple underwater acoustic deception devices when surface ships defend against underwater guidance devices, as well as the problems of low efficiency and poor portability of traditional exhaustive methods, this paper introduced the particle swarm optimization(PSO) algorithm to optimize the countermeasure model and improved the algorithm by introducing an adaptive inertia weight and a multi-radius mutation mechanism. Meanwhile, the paper established a multi-objective optimization function with core indicators including defense success rate, minimum engagement distance, and ship survival time to optimize the ship’s evasive course, as well as the launch distance and angle of two flying-aided underwater acoustic deception devices. Simulation results show that the proposed improved algorithm has higher efficiency, faster convergence speed, and better fitness compared with traditional algorithms. It also reveals the differences in optimal countermeasure strategies under different bearing angle situations and their tactical values, providing an important reference for the formulation of defense strategies against underwater guidance devices.
Multi-Ship Cooperative Search Method Based on Dynamic Voronoi Partitioning
JIANG Haijun, ZHANG Yichao, SUN Yaping, CHEN Hongkun
2026, 34(1): 198-206. doi: 10.11993/j.issn.2096-3920.2025-0123
Abstract:
Traditional multi-ship cooperative inspection search mainly employs fixed partitioning and fails to consider target evasion, resulting in low detection probability and insufficient alignment with actual combat. This paper proposed a multi-ship cooperative search method based on dynamic Voronoi partitioning and multi-source information joint decision-making. Based on a Bayesian probability framework, the method fused a sonar detection model and a target motion diffusion model to construct and dynamically update the probability distribution map of the target’s location. By adaptively dividing the search area using Voronoi diagrams, the method defined responsibility zones for each ship and realized distributed deployment in the task space, which significantly reduced redundant area coverage and eliminated search blind spots. To address the phased adaptation requirements of the “exploration and exploitation” strategy (focusing on exploration in the early stage and exploitation in the later stage), a multi-source information fusion scoring model was designed. This model incorporated target presence probability, degree of unsearched area, and local information entropy into a comprehensive calculation. Furthermore, a mechanism for adjusting weights according to search progress was constructed to dynamically adjust the search strategy with the task process, thereby guiding ships to determine optimal search target points. In adversarial scenarios with active target evasion, the proposed method was compared with the fixed-partition “zigzag”-type area coverage method and the particle swarm maximum probability heading optimization method. Results from 1 000 Monte Carlo simulations indicate that the proposed method significantly shortens the time to discover the target in multi-ship cooperative search tasks and improves the target detection probability in a statistical sense, demonstrating good realism and scalability in adversarial environments.
Service
Subscribe